Open Access

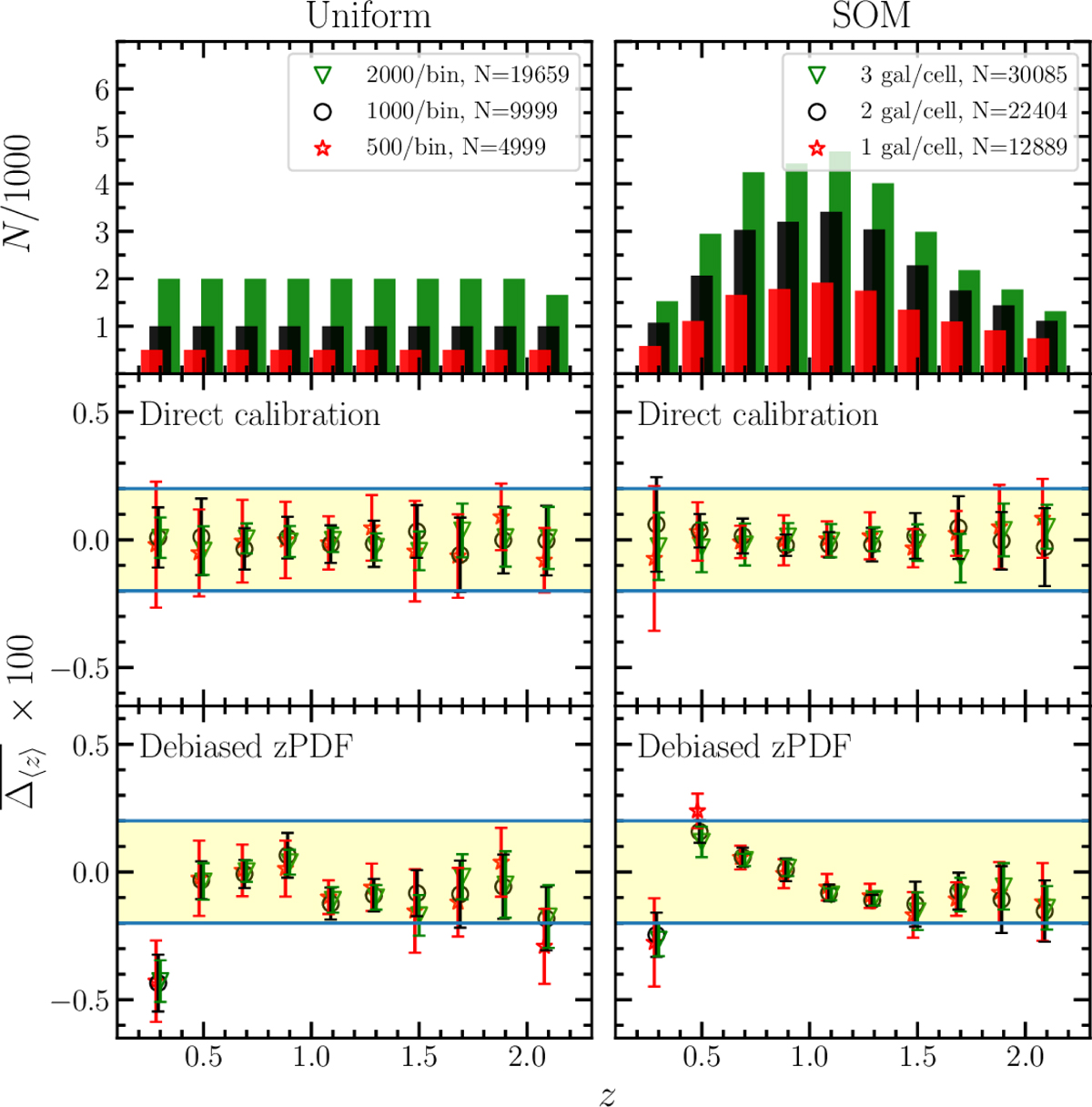
Fig. 8.

image

Bias on the mean redshift (see Eq. (3)) averaged over the 18 photometric noise realisations and the impact of the training sample size on the mean redshift accuracy in the LSST/Euclid case. Left and right panels: correspond to uniform and SOM spectroscopic coverage, respectively. Top panels: number of galaxies used for the training in the three considered cases. Middle and bottom panels: mean redshift accuracy using the direct calibration and the optimised zPDF methods, respectively.

Current usage metrics show cumulative count of Article Views (full-text article views including HTML views, PDF and ePub downloads, according to the available data) and Abstracts Views on Vision4Press platform.

Data correspond to usage on the plateform after 2015. The current usage metrics is available 48-96 hours after online publication and is updated daily on week days.

Initial download of the metrics may take a while.