Highlight
Free Access

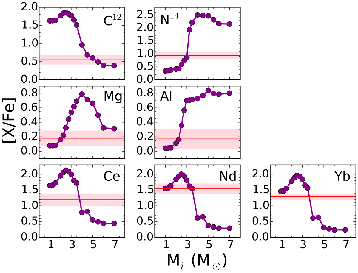
Fig. 5.

image

Predicted abundance ratios, as a function of the initial stellar mass, for low-and-intermediate-mass stars. [Xi/Fe] values were obtained from stellar yields by Karakas et al. (2014, 2018). For comparison, the red line and shaded red bands represent the observed abundance ratios and sensitivities for our extra-tidal star.

Current usage metrics show cumulative count of Article Views (full-text article views including HTML views, PDF and ePub downloads, according to the available data) and Abstracts Views on Vision4Press platform.

Data correspond to usage on the plateform after 2015. The current usage metrics is available 48-96 hours after online publication and is updated daily on week days.

Initial download of the metrics may take a while.