Free Access

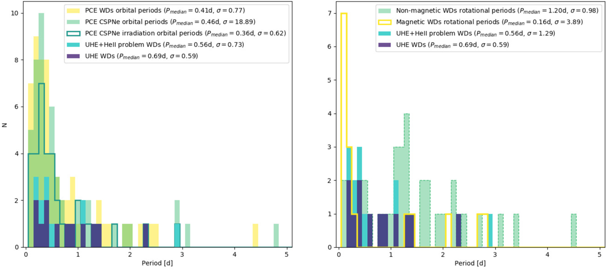
Fig. 8.

image

Distribution of the photometric periods of the variable UHE and He II line problem white dwarfs (blue), and the period distribution of only the UHE white dwarfs (purple). On the left their period distribution is compared to the orbital period distribution of PCE CSPNe (light green; the bold teal line indicates the period distribution of binary CSPNe that show a reflection effect) and white dwarfs plus main sequence binaries (light yellow). Left panel: a comparison with the rotational periods of normal white dwarfs (light green with dashed contours) and magnetic white dwarfs (bold yellow lines). The median period and standard deviation of each sample is indicated.

Current usage metrics show cumulative count of Article Views (full-text article views including HTML views, PDF and ePub downloads, according to the available data) and Abstracts Views on Vision4Press platform.

Data correspond to usage on the plateform after 2015. The current usage metrics is available 48-96 hours after online publication and is updated daily on week days.

Initial download of the metrics may take a while.