Free Access

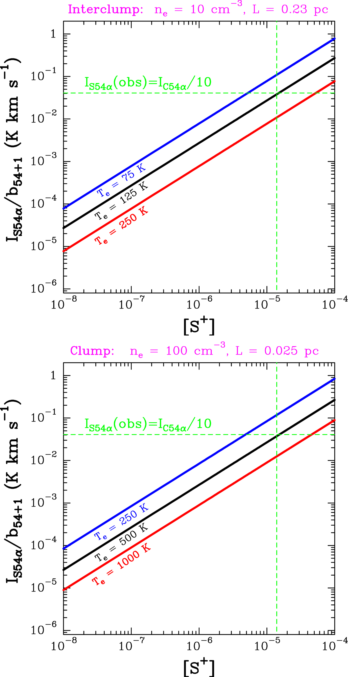
Fig. A.1.

image

S54α intensity as a function of sulfur abundance and Te. Upper panel: interclump model of the Bar. Lower panel: model that assumes that RRLs arise from denser clumps or high-pressure gas (see text). The horizontal dashed green line marks the observational value.

Current usage metrics show cumulative count of Article Views (full-text article views including HTML views, PDF and ePub downloads, according to the available data) and Abstracts Views on Vision4Press platform.

Data correspond to usage on the plateform after 2015. The current usage metrics is available 48-96 hours after online publication and is updated daily on week days.

Initial download of the metrics may take a while.