Free Access

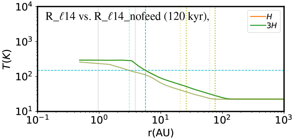
Fig. 10

image

Radial temperature profiles of the disk with and without stellar irradiation at time 120 kyr. Values of R_14_nofeed are plotted with lighter colors. The temperature is averaged (mass-weighted) vertically within H (orange) and3H (green). The snow line (R150) is marked with a vertical dashed cyan line. The disk temperature is significantly lower when no stellar irradiation is introduced, while the slope of radial profile does not seem to differ significantly.

Current usage metrics show cumulative count of Article Views (full-text article views including HTML views, PDF and ePub downloads, according to the available data) and Abstracts Views on Vision4Press platform.

Data correspond to usage on the plateform after 2015. The current usage metrics is available 48-96 hours after online publication and is updated daily on week days.

Initial download of the metrics may take a while.