Free Access

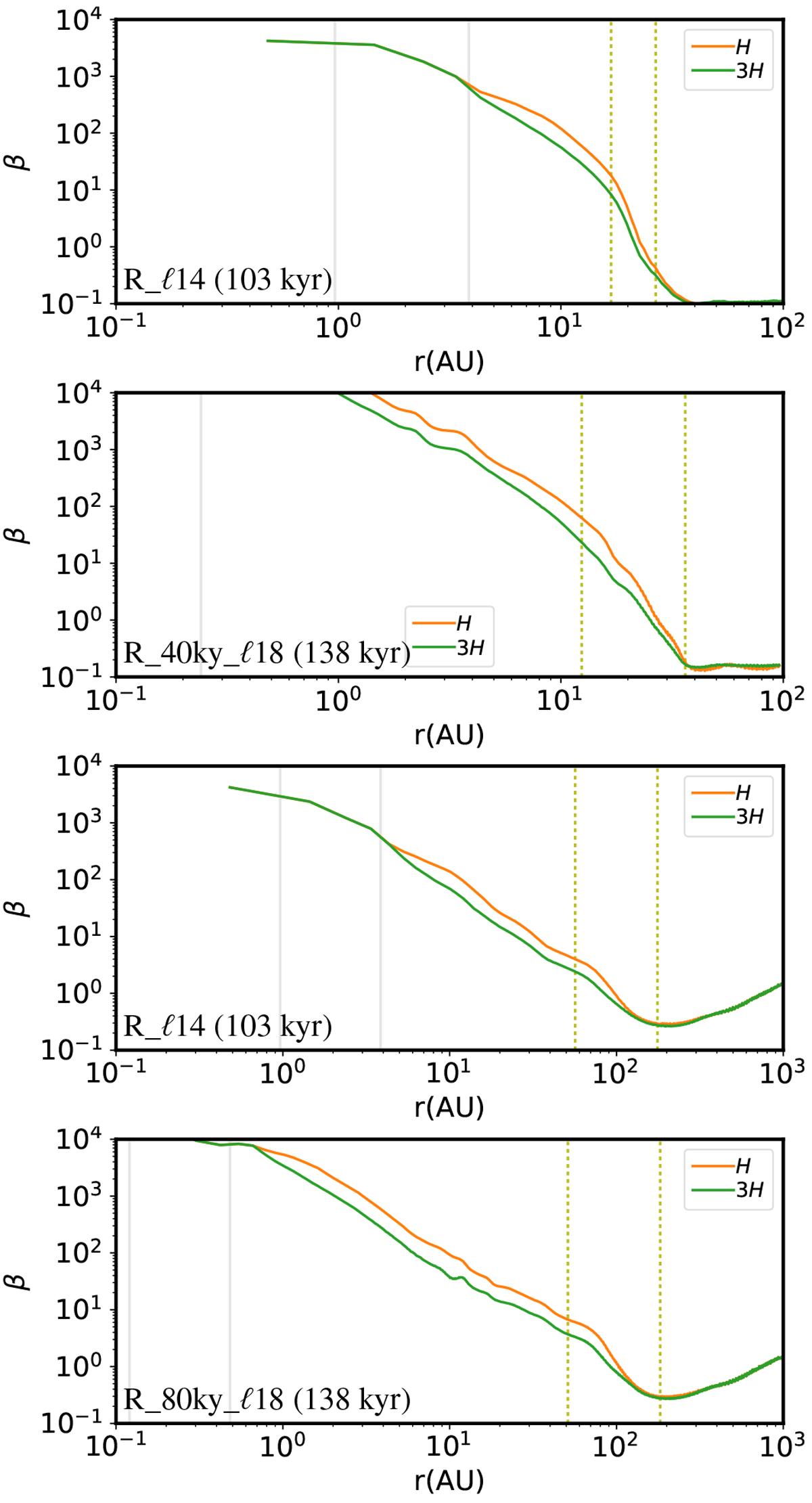
Fig. 13

image

Plasma beta, the ratio between thermal and magnetic pressures, β = PthermPmag, evaluated within one (orange) and three (green) times the disk scale height. The disk is highly demagnetized because ambipolar diffusion leaves the field lines outside during the collapse. The β value passes through unity around the junction between the disk and the envelope. The difference between the two curves comes from the lower magnetization level close to the disk midplane.

Current usage metrics show cumulative count of Article Views (full-text article views including HTML views, PDF and ePub downloads, according to the available data) and Abstracts Views on Vision4Press platform.

Data correspond to usage on the plateform after 2015. The current usage metrics is available 48-96 hours after online publication and is updated daily on week days.

Initial download of the metrics may take a while.