Free Access

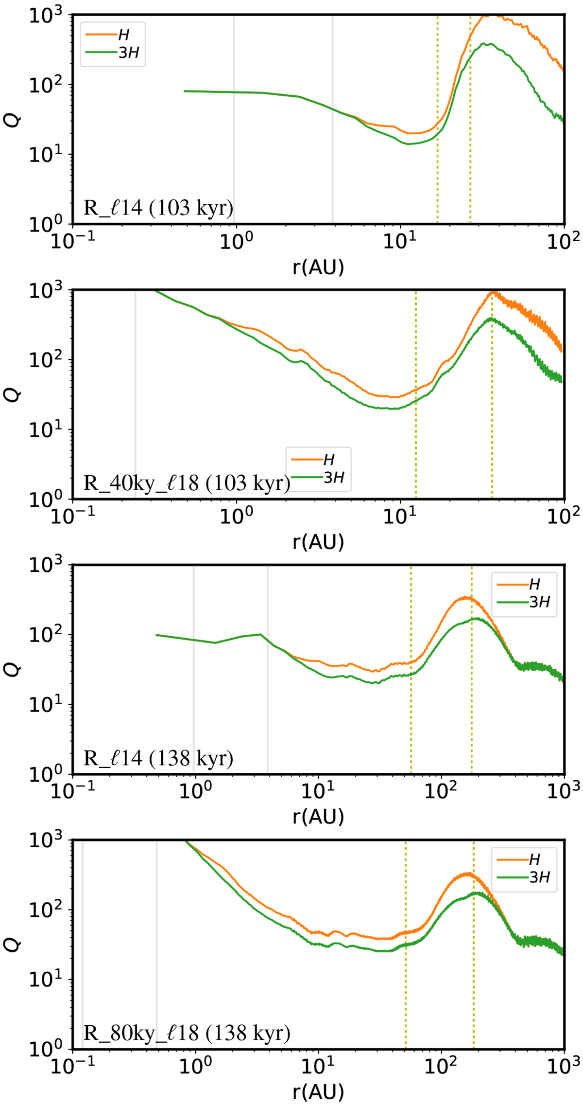
Fig. 18

image

Toomre Q ≈ Ωcs∕(πGΣ) parameter evaluated within one (orange) and three (green) times the disk scale heights. The same snapshots are taken as in Fig. 4. The disk is very stable against self-gravitating fragmentation. The difference between the two curves mainly arises because the total mass is not taken into account for the value within H and 3H.

Current usage metrics show cumulative count of Article Views (full-text article views including HTML views, PDF and ePub downloads, according to the available data) and Abstracts Views on Vision4Press platform.

Data correspond to usage on the plateform after 2015. The current usage metrics is available 48-96 hours after online publication and is updated daily on week days.

Initial download of the metrics may take a while.