Free Access

Fig. 25

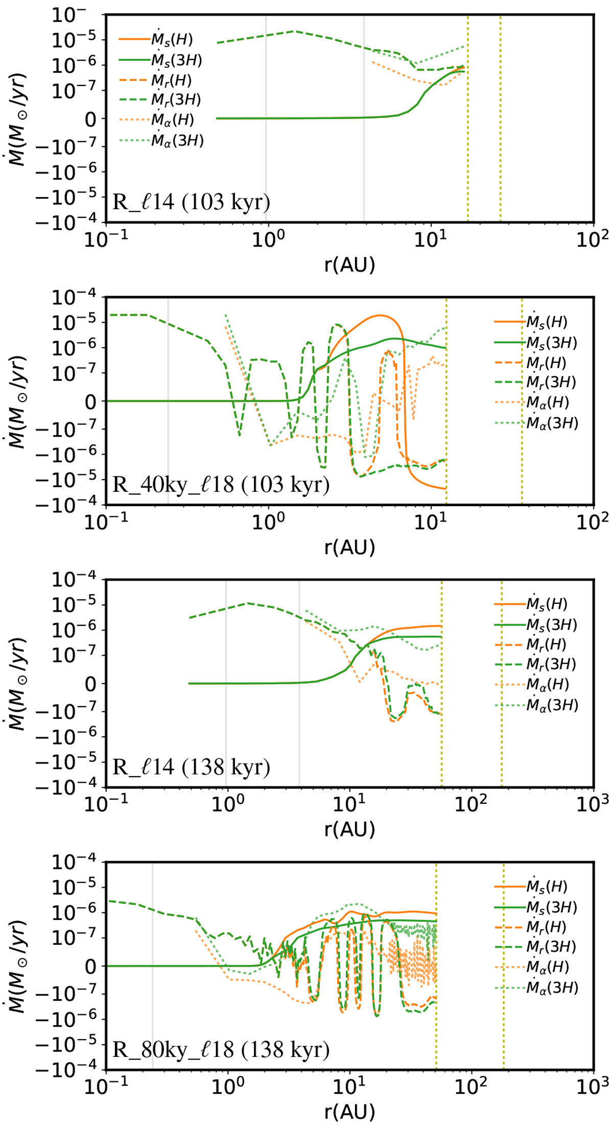
image

Massaccretion rate measured across the disk surface (s(< r)), measured radially inside the disk (r(r)), and inferred from the measured α (α (r)) for R_14 and R_40ky_18 at 103 ky, R_14 and R_80ky_18 at 138 ky (from top to bottom). Both positive and negative values with | | > 10−7 are plotted in logarithmic scale, and this is connected with a linear range in between. Most of the surface flux arrives where the slope of s(< r) is the steepest. Below this radius, the disk readily accretes in the radial direction only at a very small radius (<1 AU), and the outer part can have complex motions. The radial mass flux derived from α is not exactly the same as r(r), although the amplitudes are comparable.

Current usage metrics show cumulative count of Article Views (full-text article views including HTML views, PDF and ePub downloads, according to the available data) and Abstracts Views on Vision4Press platform.

Data correspond to usage on the plateform after 2015. The current usage metrics is available 48-96 hours after online publication and is updated daily on week days.

Initial download of the metrics may take a while.