Open Access

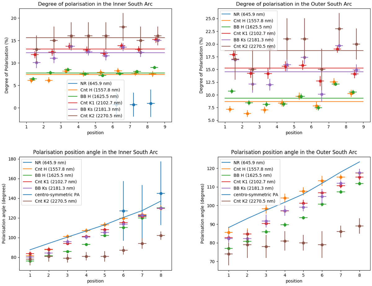
Fig. 6.

image

Degree (in %, first row) and angle (in degrees, second row) of polarisation as a function of position in the arc, from east to west, for the inner south-western arc (first column) and the outer south-western arc (second column), for all the observing bands (colour coded). Average value of the polarisation degree in a given band is indicated by the respective colour horizontal lines. Second row: the blue line corresponds to the expected polarisation position angle for these apertures if due to single scattering of light coming from the photo-centre of the AGN.

Current usage metrics show cumulative count of Article Views (full-text article views including HTML views, PDF and ePub downloads, according to the available data) and Abstracts Views on Vision4Press platform.

Data correspond to usage on the plateform after 2015. The current usage metrics is available 48-96 hours after online publication and is updated daily on week days.

Initial download of the metrics may take a while.