Free Access

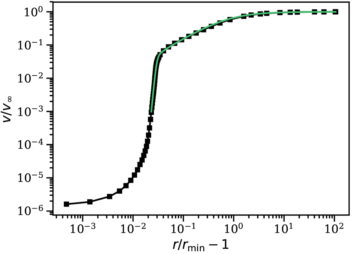
Fig. 4

image

Converged velocity structure for the characteristic model of Sect. 2.2, showing velocity over terminal wind speed versus the scaled radius-coordinate in black. The green line shows a fit using a double β-law following Eq. (22) (see text for details).

Current usage metrics show cumulative count of Article Views (full-text article views including HTML views, PDF and ePub downloads, according to the available data) and Abstracts Views on Vision4Press platform.

Data correspond to usage on the plateform after 2015. The current usage metrics is available 48-96 hours after online publication and is updated daily on week days.

Initial download of the metrics may take a while.