Free Access

Fig. 3

image

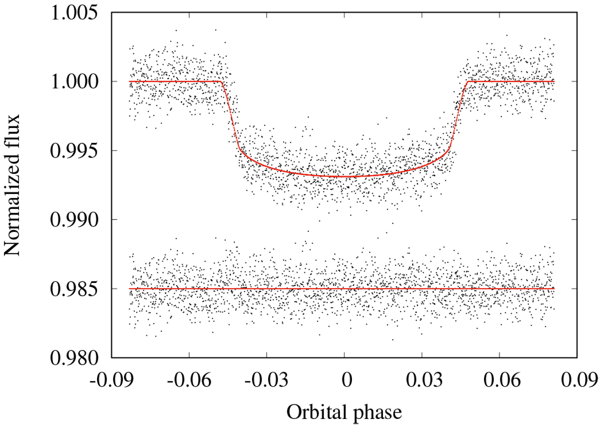
Primary transit light curve and residuals for KELT-1b for a circular orbit as a function of the orbital phase. Black points denote TESS data. Continuous red line corresponds to the best-fit primary transit model. The residuals have been artificially shifted below the transits.

Current usage metrics show cumulative count of Article Views (full-text article views including HTML views, PDF and ePub downloads, according to the available data) and Abstracts Views on Vision4Press platform.

Data correspond to usage on the plateform after 2015. The current usage metrics is available 48-96 hours after online publication and is updated daily on week days.

Initial download of the metrics may take a while.