Free Access

Fig. 17

image

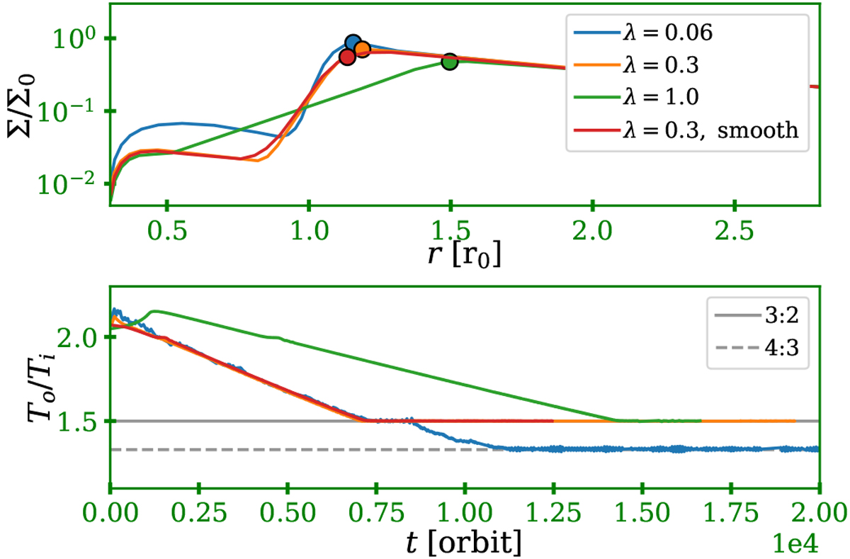
Results for the 2p20 model using different transition widths for the DZ case. Top: azimuthally averaged surface density of the inner part of the discs with different transition widths, λ, see Eq. (1). The profile labelled with λ = 0.3 smooth has a transition width of λ = 0.3 but the viscosity transition function is smoother at the edges than in our standard model. The final location of the inner planet is marked by a circle for each model. Bottom: orbital period ratio for the models in the top panel plotted with the corresponding colours.

Current usage metrics show cumulative count of Article Views (full-text article views including HTML views, PDF and ePub downloads, according to the available data) and Abstracts Views on Vision4Press platform.

Data correspond to usage on the plateform after 2015. The current usage metrics is available 48-96 hours after online publication and is updated daily on week days.

Initial download of the metrics may take a while.