Free Access

Fig. B.6

image

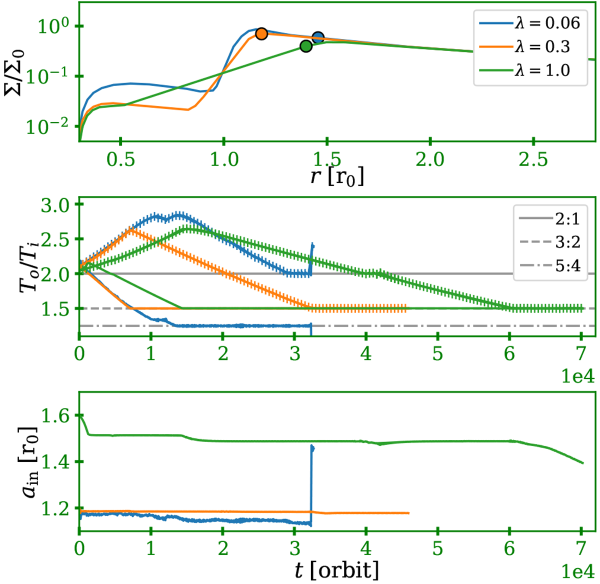
Similar to Fig. 17 (top panels), but for the 3p2020 model. Middle panel: the lines without and with markers correspond to the results for the inner and outer planet pair. Bottom panel: migration of the innermost planet in these three simulations.

Current usage metrics show cumulative count of Article Views (full-text article views including HTML views, PDF and ePub downloads, according to the available data) and Abstracts Views on Vision4Press platform.

Data correspond to usage on the plateform after 2015. The current usage metrics is available 48-96 hours after online publication and is updated daily on week days.

Initial download of the metrics may take a while.