Free Access

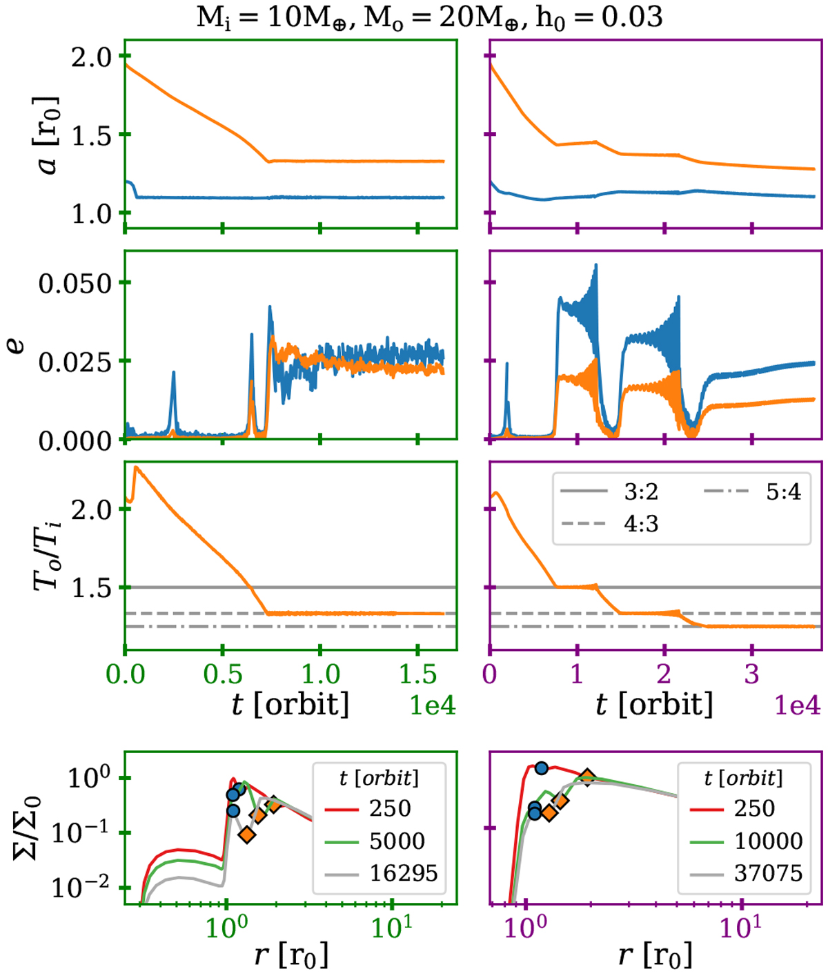
Fig. 8

image

Similar to Fig. 7, but for 2p20LH except that the panels of the last row show three different times to demonstratethe gap opening of the planets. The markers display the location of each planet, and their colours correspond those in the upper panels.

Current usage metrics show cumulative count of Article Views (full-text article views including HTML views, PDF and ePub downloads, according to the available data) and Abstracts Views on Vision4Press platform.

Data correspond to usage on the plateform after 2015. The current usage metrics is available 48-96 hours after online publication and is updated daily on week days.

Initial download of the metrics may take a while.