Open Access

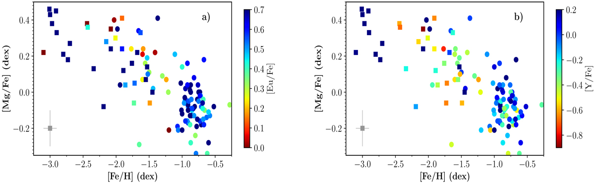
Fig. 2.

image

Mg abundance with respect to iron as a function of [Fe/H] for stars belonging to low-mass satellites (Ursa Minor, Draco, and Carina; square symbols) and to higher-mass satellites (Fornax, Sculptor, and Leo I; circles). The points are colour coded by the stars [Eu/Fe] content (panel a) and by their [Y/Fe] abundance (panel b).

Current usage metrics show cumulative count of Article Views (full-text article views including HTML views, PDF and ePub downloads, according to the available data) and Abstracts Views on Vision4Press platform.

Data correspond to usage on the plateform after 2015. The current usage metrics is available 48-96 hours after online publication and is updated daily on week days.

Initial download of the metrics may take a while.