Free Access

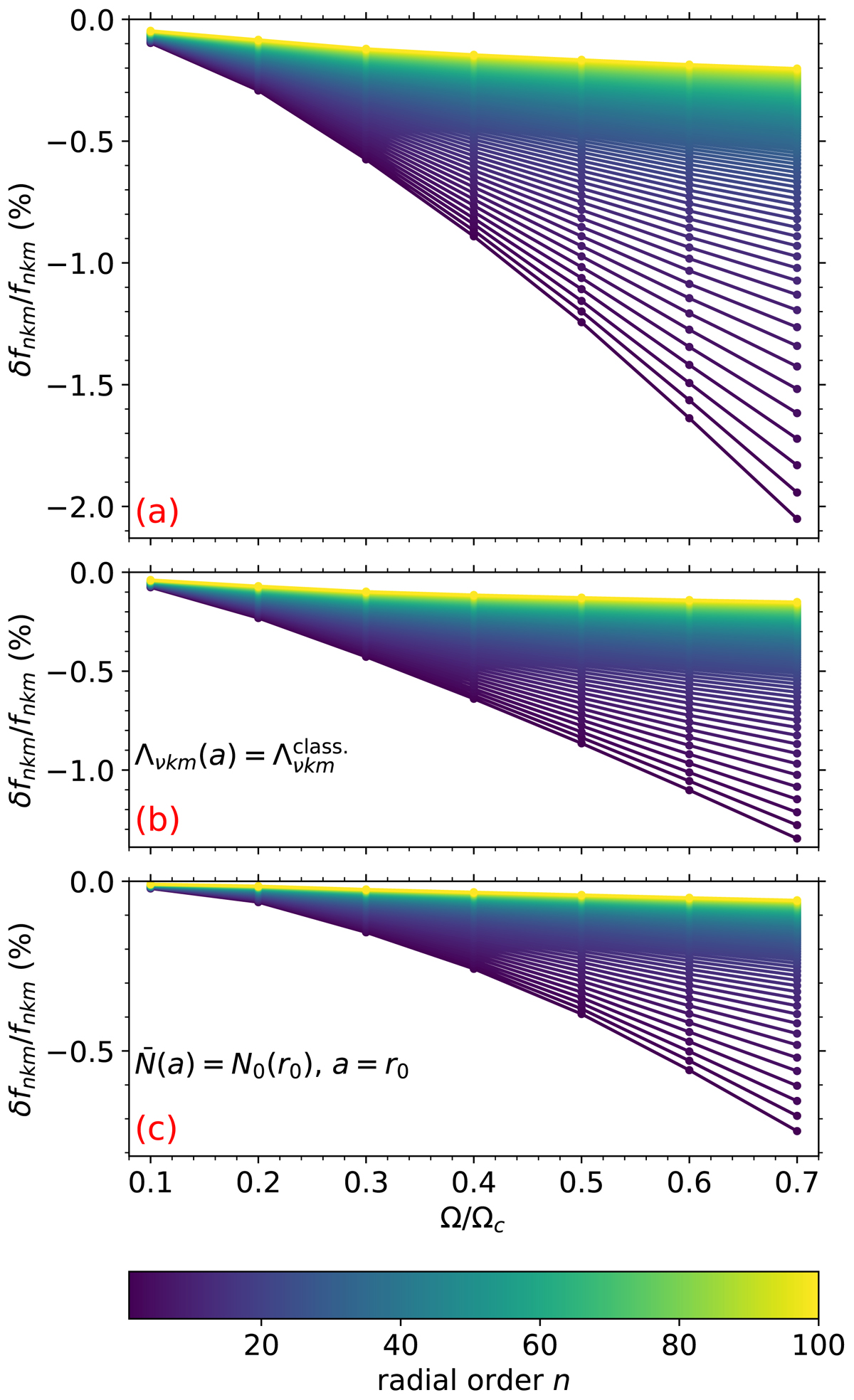
Fig. 10.

image

(a) Fractional frequency difference δfnkm/fnkm, with δfnkm = fcentrifugal − fspherical and fnkm = fcentrifugal as a function of the fractional rotation rate for n = 1 to n = 100. Calculations based on central 2 M, Xc = 0.50 MESA model with Ω/Ωc ∈ [0.10−0.70], exhibiting prograde dipole sectoral (k, m) = (0, 1) modes. (b) Same as (a), but now with the isolated effect of the deformation of the Brunt-Väisälä frequency profile and radial coordinate (achieved by setting ). (c) Same as (a), but now with the isolated effect of the deviation of the eigenvalue of the GLTE (achieved by setting and a = r0).

Current usage metrics show cumulative count of Article Views (full-text article views including HTML views, PDF and ePub downloads, according to the available data) and Abstracts Views on Vision4Press platform.

Data correspond to usage on the plateform after 2015. The current usage metrics is available 48-96 hours after online publication and is updated daily on week days.

Initial download of the metrics may take a while.