Free Access

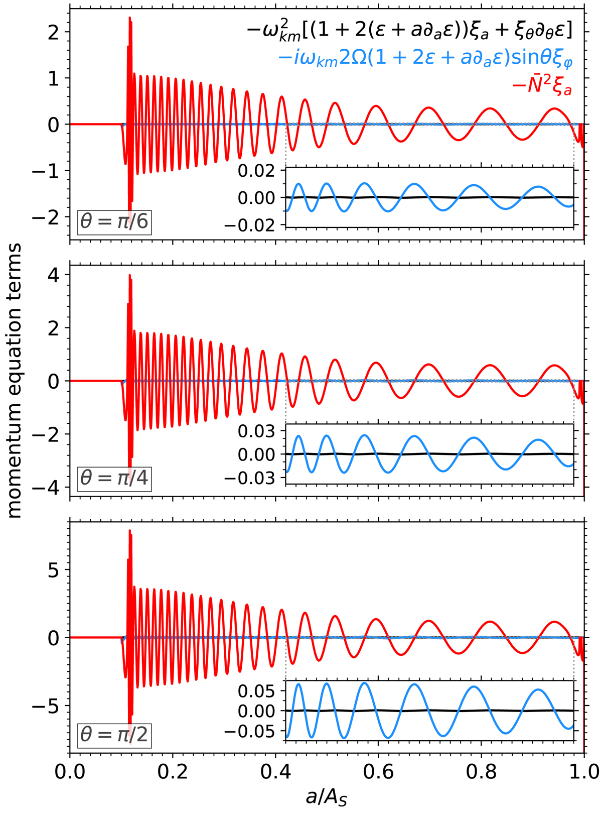
Fig. C.1.

image

Comparison of the terms in the momentum equation Eq. (C.1). The term (red), the first LHS term (black), and the second LHS term (blue) in the momentum equation Eq. (C.1) were calculated for the (n, k, m) = (50, 0, 1) pulsation mode in the central model of our MESA grid, with 2 M, Xc = 0.50, and a rotation rate of Ω = 0.15 Ωc. The values are shown at co-latitudes θ = π/6 (top), π/4 (middle), and π/2 (bottom). Parts of the LHS terms are shown again in the insets, magnified 27 times.

Current usage metrics show cumulative count of Article Views (full-text article views including HTML views, PDF and ePub downloads, according to the available data) and Abstracts Views on Vision4Press platform.

Data correspond to usage on the plateform after 2015. The current usage metrics is available 48-96 hours after online publication and is updated daily on week days.

Initial download of the metrics may take a while.