Free Access

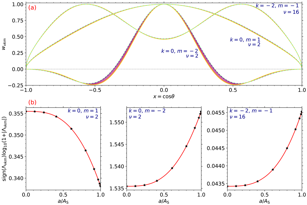
Fig. 5.

image

(a) Modified radial Hough functions wνkm(a, θ) (normalised) for three different modes (with specified spin parameter ν). Colour conventions are the same as those in Fig. 3. (b) Eigenvalue Λνkm(a) profiles corresponding to the eigenfunctions in (a). Points indicated with a ⋆ correspond to eigenvalues obtained by solving the GLTE. Red points were found via quadratic interpolation. The considered number of collocation points was N = 200.

Current usage metrics show cumulative count of Article Views (full-text article views including HTML views, PDF and ePub downloads, according to the available data) and Abstracts Views on Vision4Press platform.

Data correspond to usage on the plateform after 2015. The current usage metrics is available 48-96 hours after online publication and is updated daily on week days.

Initial download of the metrics may take a while.