Open Access

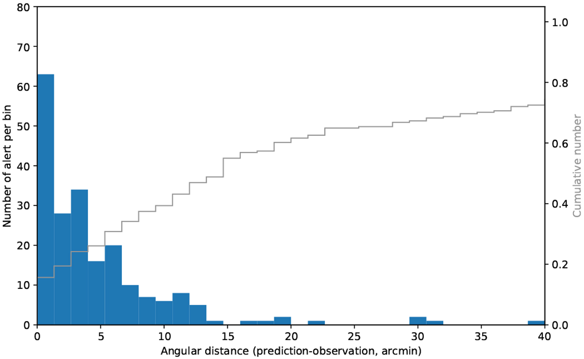
Fig. 9

image

Distribution of the angular distance between the predicted median (RA, Dec) coordinates and the observed position measured from the ground (solid bar). The cumulative distribution of the ephemeris uncertainty (reported as the square root of the sky area) is also reported (gray line). Objects are typically found well within the uncertainty.

Current usage metrics show cumulative count of Article Views (full-text article views including HTML views, PDF and ePub downloads, according to the available data) and Abstracts Views on Vision4Press platform.

Data correspond to usage on the plateform after 2015. The current usage metrics is available 48-96 hours after online publication and is updated daily on week days.

Initial download of the metrics may take a while.