Open Access

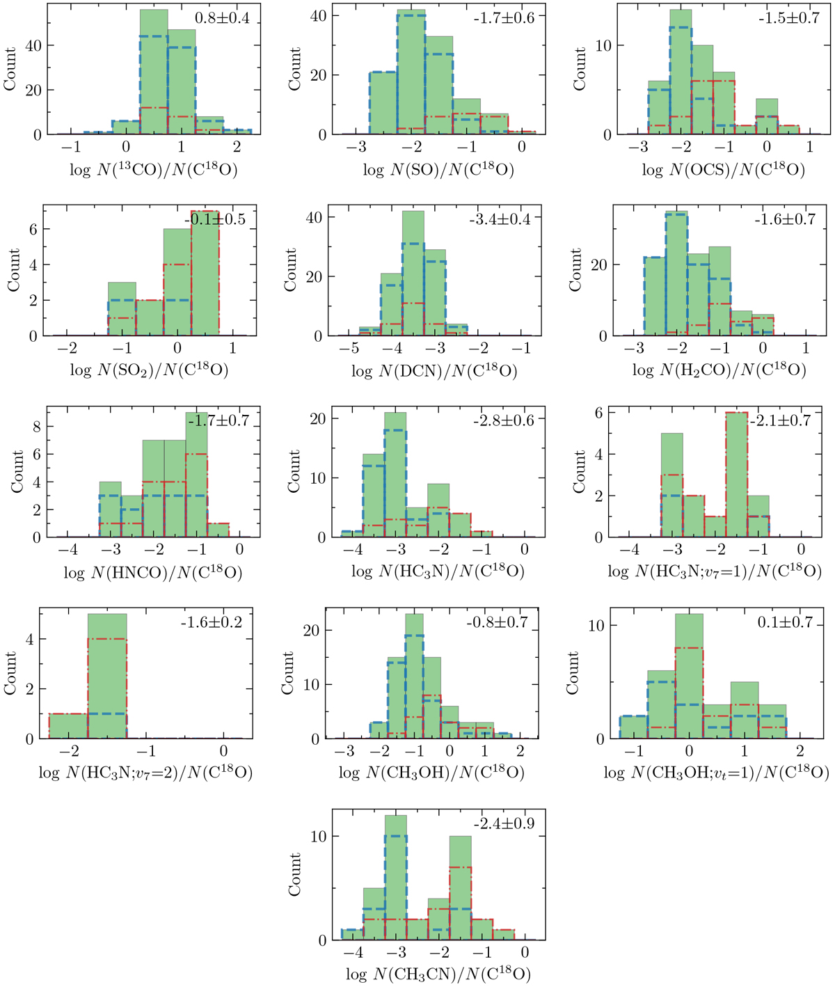
Fig. D.1

image

Abundance ratio histograms. Abundance ratio histograms of all 120 positions are shown in green (upper limits are not included). Separate abundance ratio histograms of the core and non-core positions are indicated by the dash-dotted red and dashed blue lines, respectively.

Current usage metrics show cumulative count of Article Views (full-text article views including HTML views, PDF and ePub downloads, according to the available data) and Abstracts Views on Vision4Press platform.

Data correspond to usage on the plateform after 2015. The current usage metrics is available 48-96 hours after online publication and is updated daily on week days.

Initial download of the metrics may take a while.