Free Access

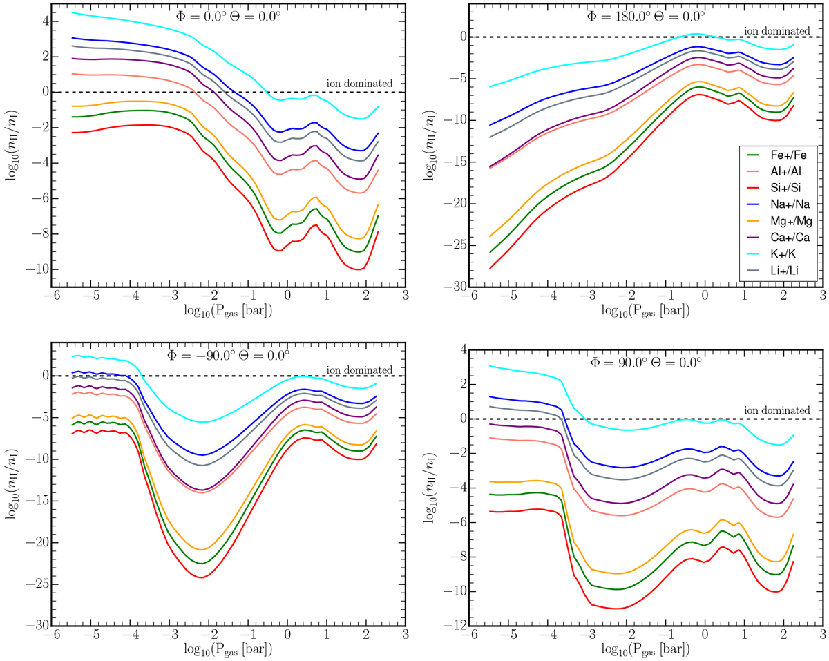
Fig. 3

image

Dominating ions at the dayside, the nightside and at the two equatorial terminators of HAT-P-7b (ϕ = 90o – evening, ϕ = −90° – morning). nI is the number density for the gas-phase atom, nII is the number density for the singly ionised ion in the gas-phase. The black dashed lines indicate where nII/nI = 1. Above this line, the element is ionised, and below this line they appear neutral.

Current usage metrics show cumulative count of Article Views (full-text article views including HTML views, PDF and ePub downloads, according to the available data) and Abstracts Views on Vision4Press platform.

Data correspond to usage on the plateform after 2015. The current usage metrics is available 48-96 hours after online publication and is updated daily on week days.

Initial download of the metrics may take a while.