Free Access

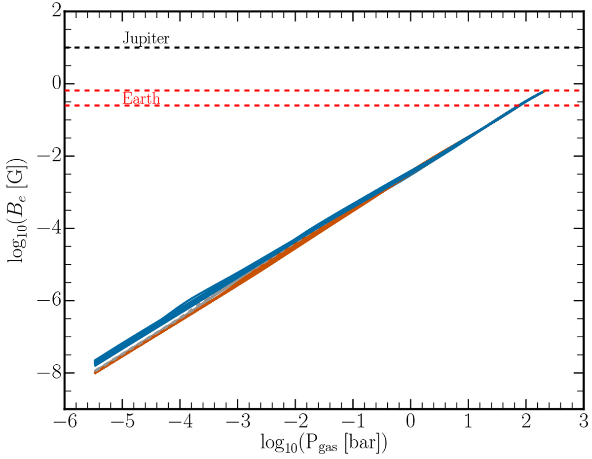
Fig. 5

image

Critical magnetic flux density required for electrons, Be, to be magnetically coupled to an external magnetic field on HAT-P-7b. The black dashed line indicates B = 10 G, which is a typical magnetic field strength for giant gas planets, the red dashed lines are values for the Earth magnetic field strength. If B > Be then ωceνne is fulfilled and the atmosphere is magnetised. All line colours are as in Fig. 2.

Current usage metrics show cumulative count of Article Views (full-text article views including HTML views, PDF and ePub downloads, according to the available data) and Abstracts Views on Vision4Press platform.

Data correspond to usage on the plateform after 2015. The current usage metrics is available 48-96 hours after online publication and is updated daily on week days.

Initial download of the metrics may take a while.