Open Access

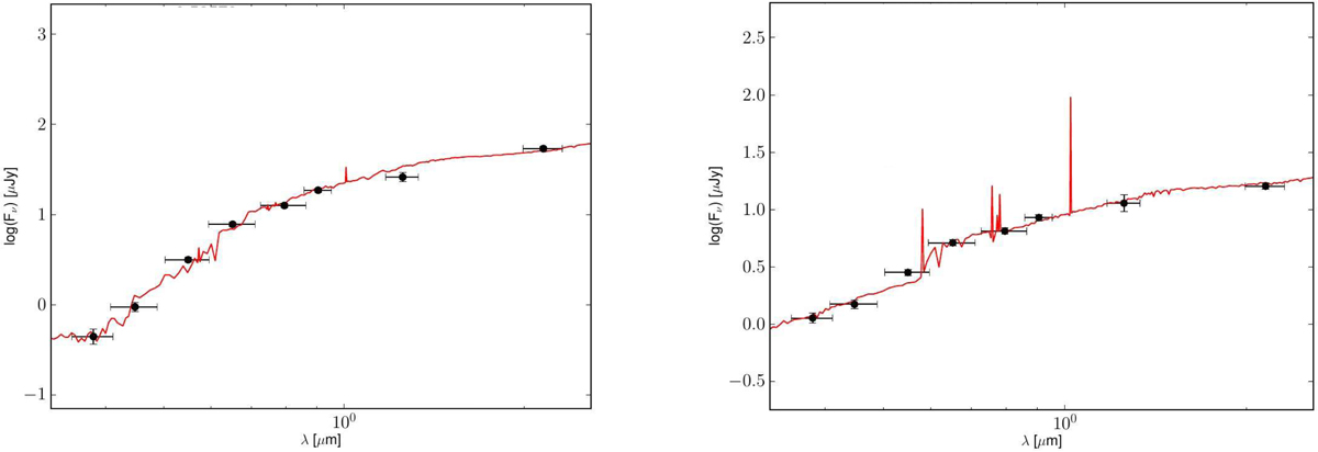
Fig. 7.

image

Two jellyfish galaxy candidates in MACS0717 (in black: 8 mag available from the Jauzac et al. 2012 catalogue) with the best stellar population fit superimposed (in red). One has a weak Hα emission line (left) and one has several strong emission lines (right).

Current usage metrics show cumulative count of Article Views (full-text article views including HTML views, PDF and ePub downloads, according to the available data) and Abstracts Views on Vision4Press platform.

Data correspond to usage on the plateform after 2015. The current usage metrics is available 48-96 hours after online publication and is updated daily on week days.

Initial download of the metrics may take a while.