Free Access

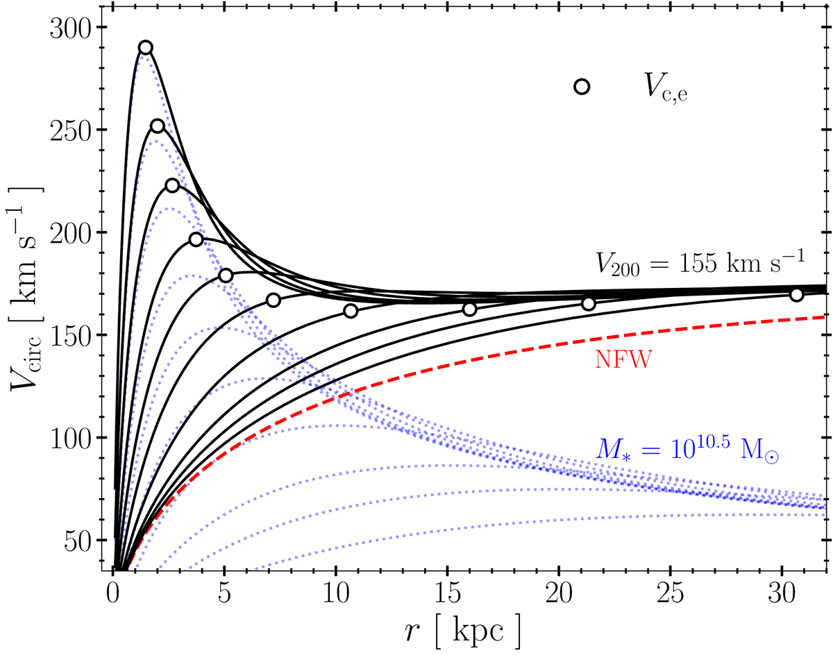
Fig. 4.

image

Schematic circular velocity profiles (black solid lines) of galaxies of stellar mass M* = 3 × 1010M, embedded in an NFW halo (red dashed curve) of virial mass M200 = 1.4 × 1012M (or, equivalently, V200 = 155 km s−1) and average concentration, c200 = 7.6 (Ludlow et al. 2016). Different curves correspond to exponential stellar discs of varying half-mass radius. The circular velocity of the dark matter plus stars at each of the half-mass radii, Vc, e, is shown by the open circles. It is clear that Vc, e is approximately independent of re for galaxy radii exceeding a ‘critical’ radius (rcrit) of order ∼5 kpc. The characteristic rotation speeds of disc galaxies of given mass are thus roughly independent of radius, provided galaxy radii satisfy re > rcrit. Conversely, galaxies with re < rcrit are expected to be dominated by their stellar component, and their characteristic velocities should depend sensitively on re.

Current usage metrics show cumulative count of Article Views (full-text article views including HTML views, PDF and ePub downloads, according to the available data) and Abstracts Views on Vision4Press platform.

Data correspond to usage on the plateform after 2015. The current usage metrics is available 48-96 hours after online publication and is updated daily on week days.

Initial download of the metrics may take a while.