Open Access

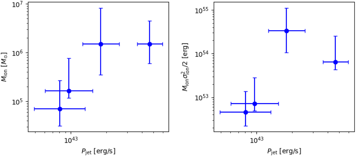
Fig. 11.

image

Ionised gas mass Mion (left) and gas kinetic energy (right) in the region affected by the [O III] W70 enhancement (> 300 km s−1) vs. jet power Pjet for the four objects presented, as reported in Table 3. The jet power resulting from simulations of jet-ISM interactions could be an order of magnitude higher than that reported, obtained from empirical relations (Bîrzan et al. 2008), based on the results from simulations in Mukherjee et al. (2018b) for IC 5063.

Current usage metrics show cumulative count of Article Views (full-text article views including HTML views, PDF and ePub downloads, according to the available data) and Abstracts Views on Vision4Press platform.

Data correspond to usage on the plateform after 2015. The current usage metrics is available 48-96 hours after online publication and is updated daily on week days.

Initial download of the metrics may take a while.