Free Access

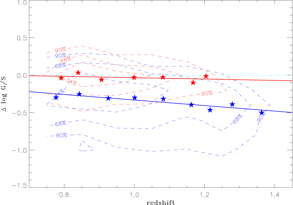
Fig. 9.

image

Difference between the G/S estimated from NUV − r and μ* and the G/S estimated from NUV − r only as a function of redshift. The median value in each redshift bin and the linear fitting results of these median values are shown as stars and solid lines, respectively. The contours enclose 34, 68, and 90% of the sample. Similar to Fig. 7, the red and blue colours represent galaxies with (NUV − r) > 3.5 and (NUV − r) < 3.5, respectively.

Current usage metrics show cumulative count of Article Views (full-text article views including HTML views, PDF and ePub downloads, according to the available data) and Abstracts Views on Vision4Press platform.

Data correspond to usage on the plateform after 2015. The current usage metrics is available 48-96 hours after online publication and is updated daily on week days.

Initial download of the metrics may take a while.