Free Access

Fig. 10

image

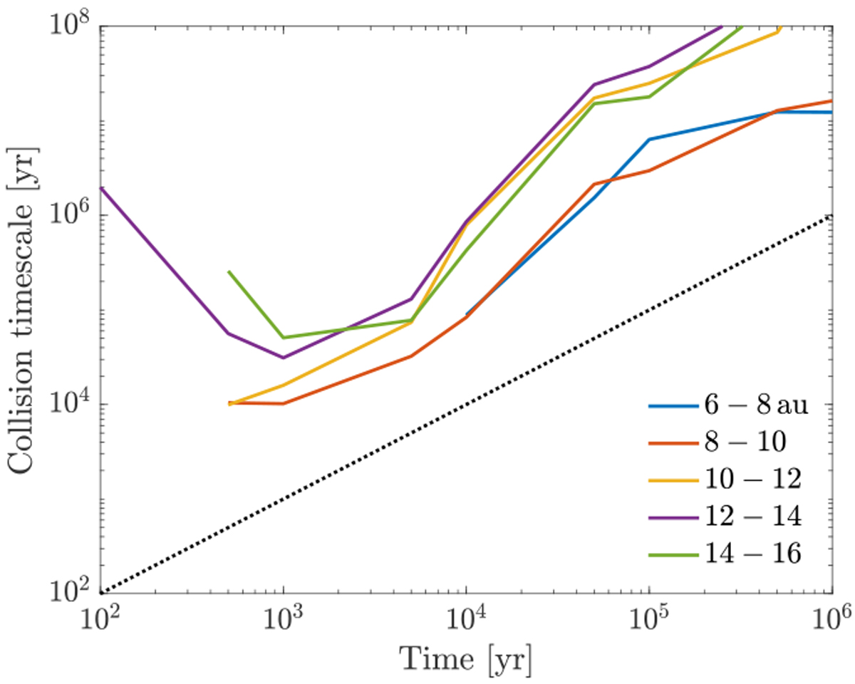
Time evolution of the timescale for planetesimal–planetesimal collisions for the nominal HL Tau simulation. The collision timescale was calculated using Eq. (20) and using an initial planetesimal mass of 281 M, following the results from simulation #4 of Paper I. The dotted line marks where the collision timescale equals the time of the simulation. Even though the collision timescale for one planetesimal can be as low as 104 yr, it is still roughly an order of magnitude larger than the actual simulated time, meaning that planetesimal-planetesimal collisions can be safely ignored in our simulations as a source of dust production.

Current usage metrics show cumulative count of Article Views (full-text article views including HTML views, PDF and ePub downloads, according to the available data) and Abstracts Views on Vision4Press platform.

Data correspond to usage on the plateform after 2015. The current usage metrics is available 48-96 hours after online publication and is updated daily on week days.

Initial download of the metrics may take a while.