Free Access

Fig. 11

image

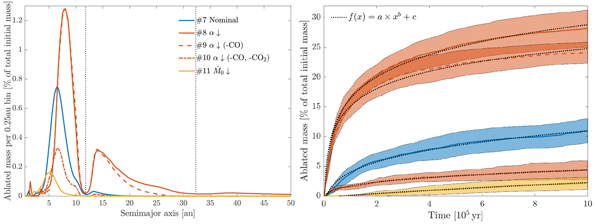
Left plot: distribution of ablated mass across the disk after 1 Myr for all HL Tau simulations. The values on the y-axis represent the amount of mass that has been ablated in a 0.25 au semimajor axis bin. The dotted lines mark the semimajor axes of the two innermost planets. In the nominal simulation, all mass lossoccurs just interior of the innermost planet. When the surface density is increased (#8), there is also some mass loss occurring further out in the disk. Right plot: total amount of mass that has been ablated as a function of time, for the same data as in the left plot. The colored lines show the average over the 10 simulations and the colored region shows the one standard deviation away from this value. The dotted black lines show the best fit to the curve f(x), and the parameters to the fits can be found in Table 3. Comparison of simulation #8–#10 shows that most mass loss occurs due to the presence of CO2.

Current usage metrics show cumulative count of Article Views (full-text article views including HTML views, PDF and ePub downloads, according to the available data) and Abstracts Views on Vision4Press platform.

Data correspond to usage on the plateform after 2015. The current usage metrics is available 48-96 hours after online publication and is updated daily on week days.

Initial download of the metrics may take a while.