Free Access

Fig. D.1

image

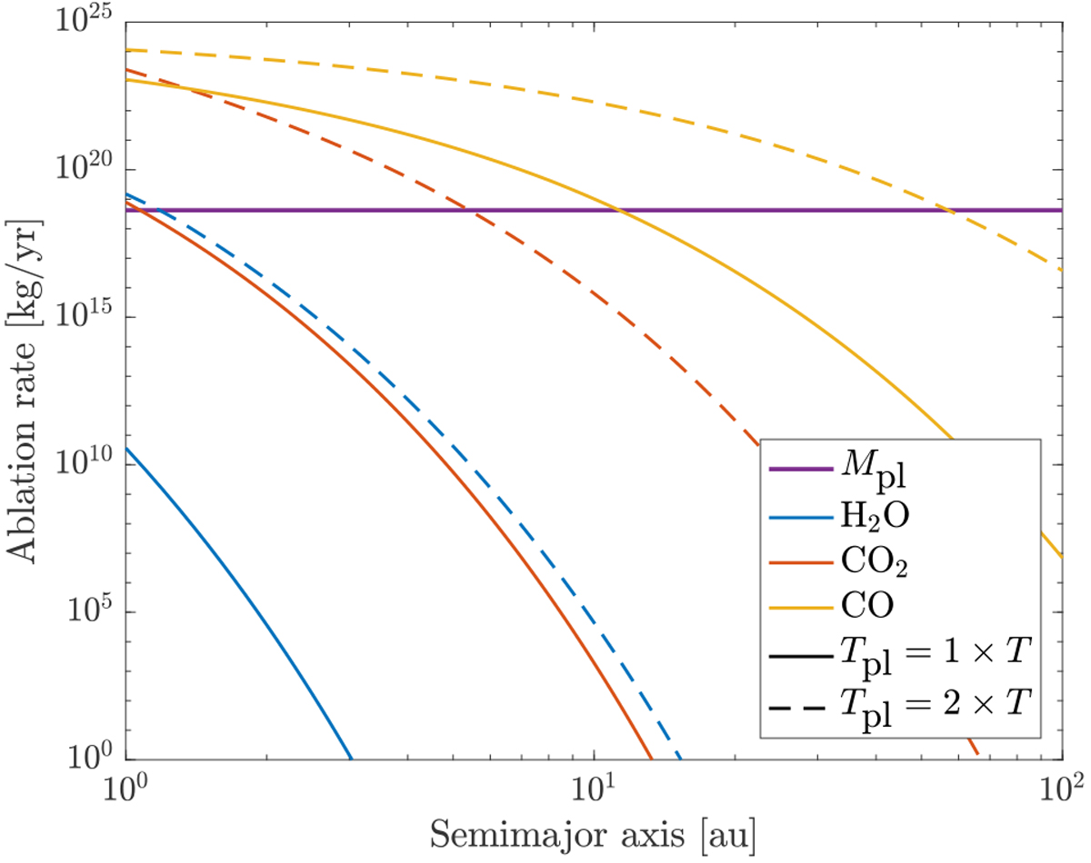
Mass ablation rate as a function of semimajor axis for H2O, CO2, and CO ice.The planetesimal surface temperature is set to equal integer multiples of the disk temperature. The mass of one planetesimal is marked as a purple line on the plot; above this line, a planetesimal becomes completely ablated within one year.

Current usage metrics show cumulative count of Article Views (full-text article views including HTML views, PDF and ePub downloads, according to the available data) and Abstracts Views on Vision4Press platform.

Data correspond to usage on the plateform after 2015. The current usage metrics is available 48-96 hours after online publication and is updated daily on week days.

Initial download of the metrics may take a while.