Free Access

Fig. F.1

image

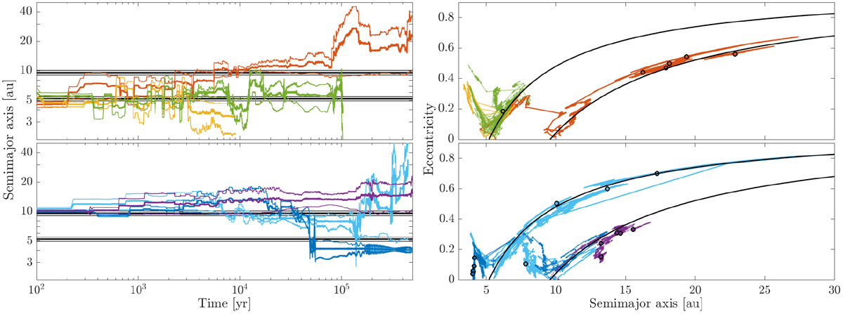
Semimajor axis and eccentricity evolution for the same data as in Fig. 3, with the same color-coding. Planetesimals formed at Jupiter’s gap edge are plotted in the top panels, and planetesimals formed at Saturn’s gap edge are plotted in the bottom panels. Left: evolution of the planetesimals semimajor axis (thick colored lines), perihelion, and aphelion (thin colored lines). The semimajor axes, perihelia and aphelia of Jupiter and Saturn (thick and thin black lines) are included as well. Right: eccentricity and semimajor axis tracks, with dots to mark 100 kyr of evolution.The black lines mark the perihelia of Jupiter and Saturn.

Current usage metrics show cumulative count of Article Views (full-text article views including HTML views, PDF and ePub downloads, according to the available data) and Abstracts Views on Vision4Press platform.

Data correspond to usage on the plateform after 2015. The current usage metrics is available 48-96 hours after online publication and is updated daily on week days.

Initial download of the metrics may take a while.