Fig. 2

image

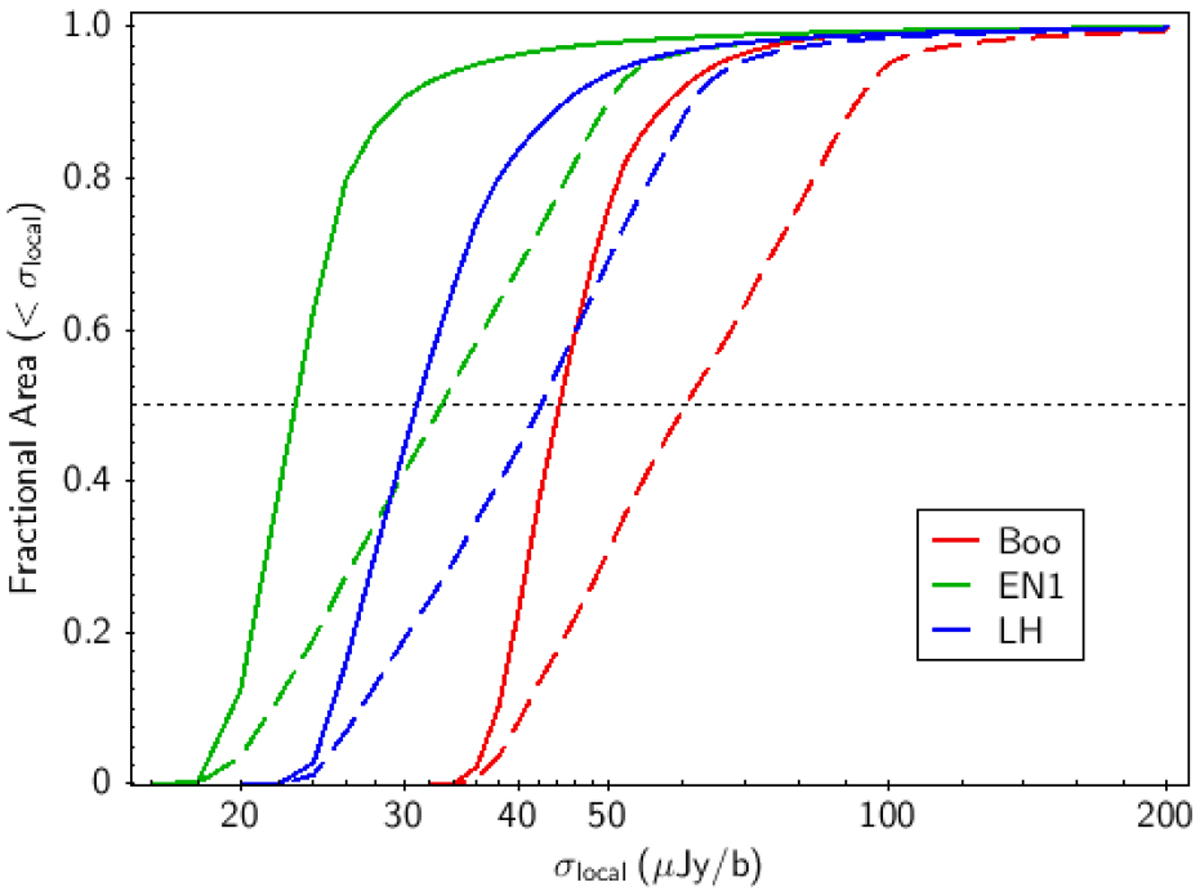
Visibility functions of the raw (dashed lines) and final (solid lines) catalogs presented in this paper. Blue, red and green colorscorrespond to the LH, Boo and EN1 fields, respectively. The visibility functions represent the cumulative fraction of the total area of the noise map characterized by a noise lower than a given value. We caution that the total area coveredby the final catalogs is much smaller than the one covered by the raw catalogs (see Table 1).

Current usage metrics show cumulative count of Article Views (full-text article views including HTML views, PDF and ePub downloads, according to the available data) and Abstracts Views on Vision4Press platform.

Data correspond to usage on the plateform after 2015. The current usage metrics is available 48-96 hours after online publication and is updated daily on week days.

Initial download of the metrics may take a while.