Free Access

Fig. 2

image

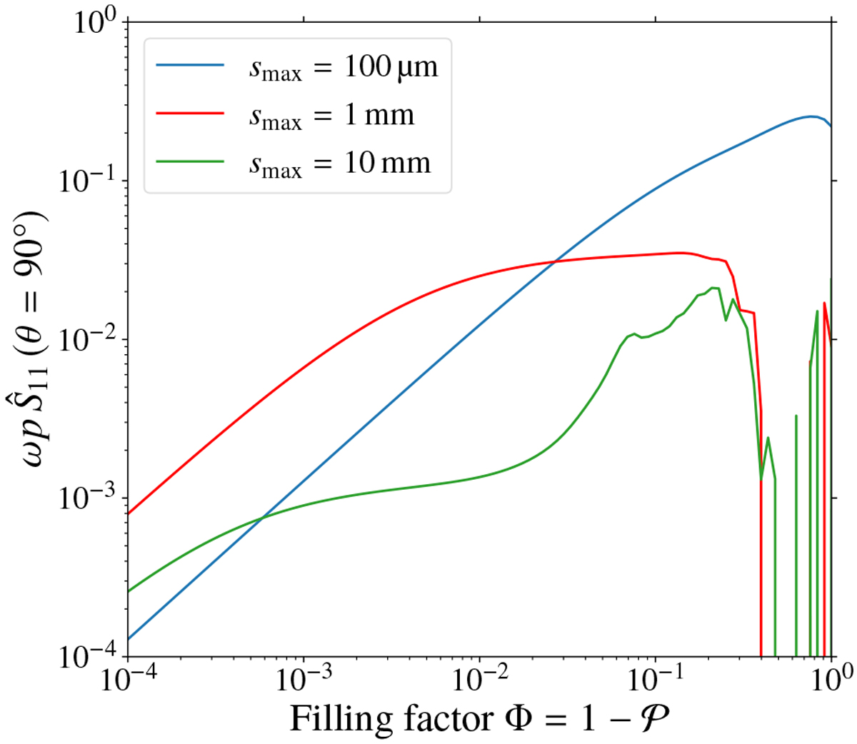
Product of albedo ω, single-scattering polarisation p, and probability density function Ŝ11 for the scattering angle θ = 90°. All quantities are calculated for a grain size distribution with q = −3.5, smin = 5 nm and three different maximum grain sizes smax = 100 μm (blue), 1 mm (red), and 10 mm (green) at a wavelength of 850 μm for astrosil; see Sect. 2.3 for the corresponding discussion.

Current usage metrics show cumulative count of Article Views (full-text article views including HTML views, PDF and ePub downloads, according to the available data) and Abstracts Views on Vision4Press platform.

Data correspond to usage on the plateform after 2015. The current usage metrics is available 48-96 hours after online publication and is updated daily on week days.

Initial download of the metrics may take a while.