Free Access

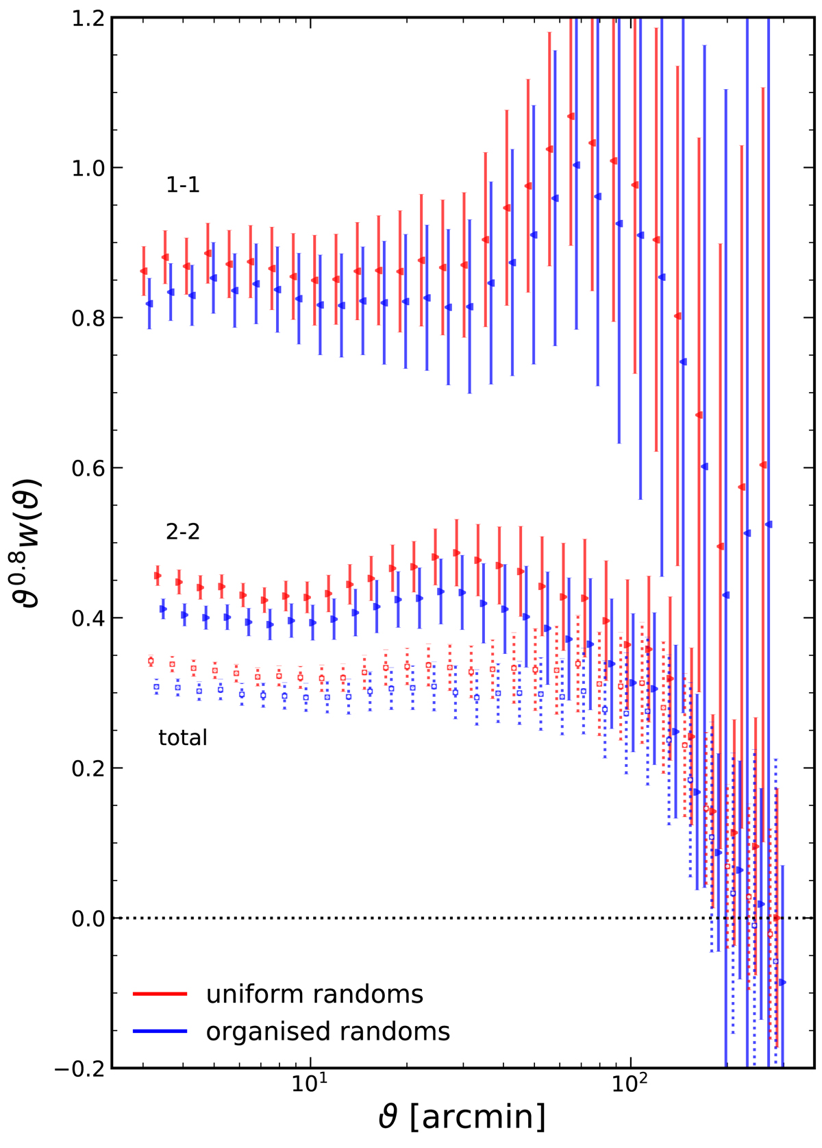
Fig. 11.

image

Angular auto-correlation functions w(ϑ) measured in the total (i.e. unselected) KiDS-1000 bright sample (bottom), and within redshift bins 1 (1-1; top) and 2 (2-2; middle), with edges ∈[ 0.02, 0.2, 0.5 ], as shown in Fig. 3. Measurements using uniform randoms are shown in red, and those made with 100A organised randoms are shown in blue. Errors are estimated with a 2D delete-one jackknife with 31 pseudo-independent patches of the footprint. Points are horizontally offset to aid clarity. The total sample correlation is more clearly visible in Fig. D.1.

Current usage metrics show cumulative count of Article Views (full-text article views including HTML views, PDF and ePub downloads, according to the available data) and Abstracts Views on Vision4Press platform.

Data correspond to usage on the plateform after 2015. The current usage metrics is available 48-96 hours after online publication and is updated daily on week days.

Initial download of the metrics may take a while.