Free Access

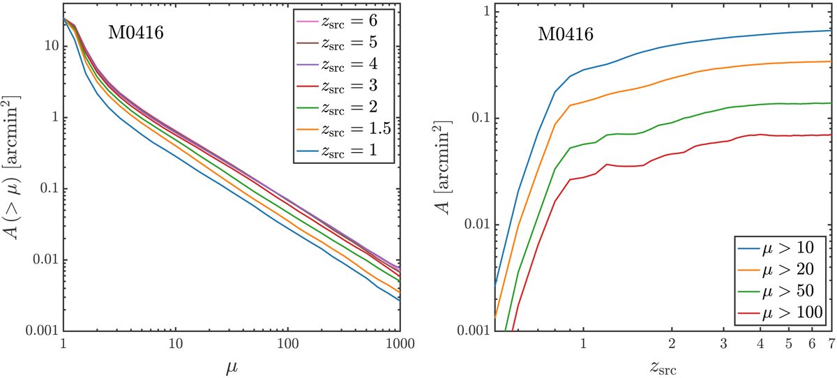
Fig. 1.

image

Solid angle as a function of magnification and redshift for M0416. Left panel: cumulative solid angle corresponding to a magnification higher than a given value A(> μ) in the lens plane plotted as a function of magnification for a set of redshifts from 1 to 6 for the cluster M0416 at z = 0.397. The maximum solid angle corresponds to the 25 arcmin2 surveyed area in each cluster. Right panel: cumulative solid angle A(> μ) for μ = 10, 20, 50, and 100 in the lens plane as a function of the redshift of the lensed source for the cluster M0416.

Current usage metrics show cumulative count of Article Views (full-text article views including HTML views, PDF and ePub downloads, according to the available data) and Abstracts Views on Vision4Press platform.

Data correspond to usage on the plateform after 2015. The current usage metrics is available 48-96 hours after online publication and is updated daily on week days.

Initial download of the metrics may take a while.