Free Access

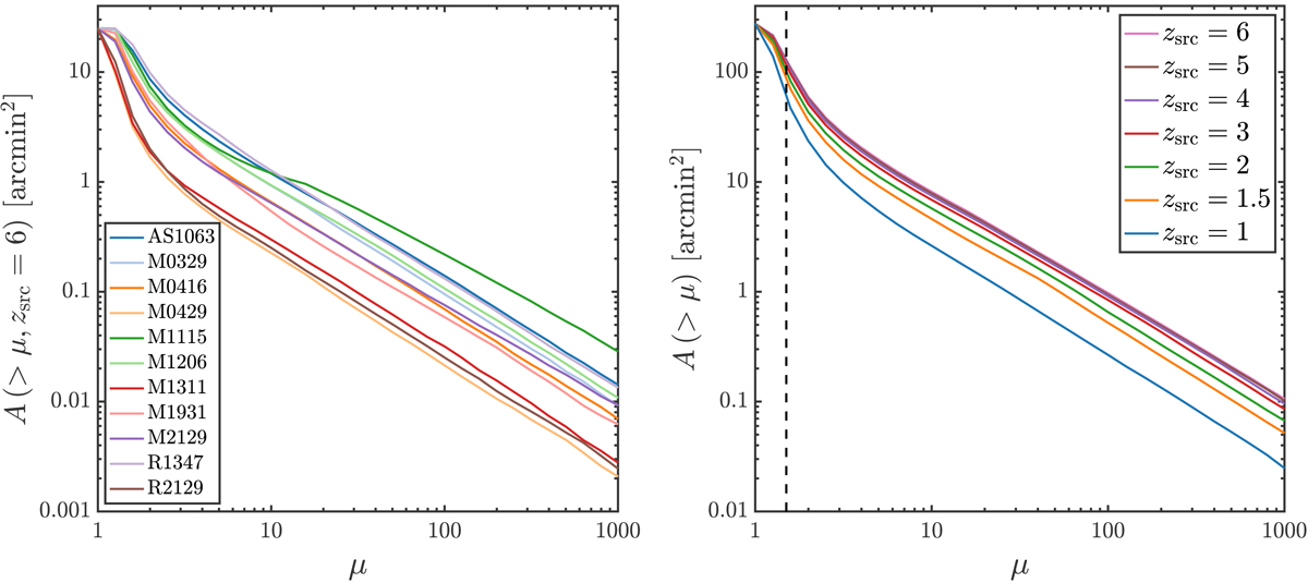
Fig. 2.

image

Solid angle as a function of magnification and redshift for the 11 clusters. Left panel: solid angle A(> μ) in the lens plane for each of the 11 clusters as a function of μ(zs = 6). Right panel: cumulative solid angle A(> μ) in the lens plane for our entire sample for a source redshift from 1 to 6. The vertical dashed line shows the lower magnification limit μmax = 1.5 that defines the field of view we investigated.

Current usage metrics show cumulative count of Article Views (full-text article views including HTML views, PDF and ePub downloads, according to the available data) and Abstracts Views on Vision4Press platform.

Data correspond to usage on the plateform after 2015. The current usage metrics is available 48-96 hours after online publication and is updated daily on week days.

Initial download of the metrics may take a while.