Free Access

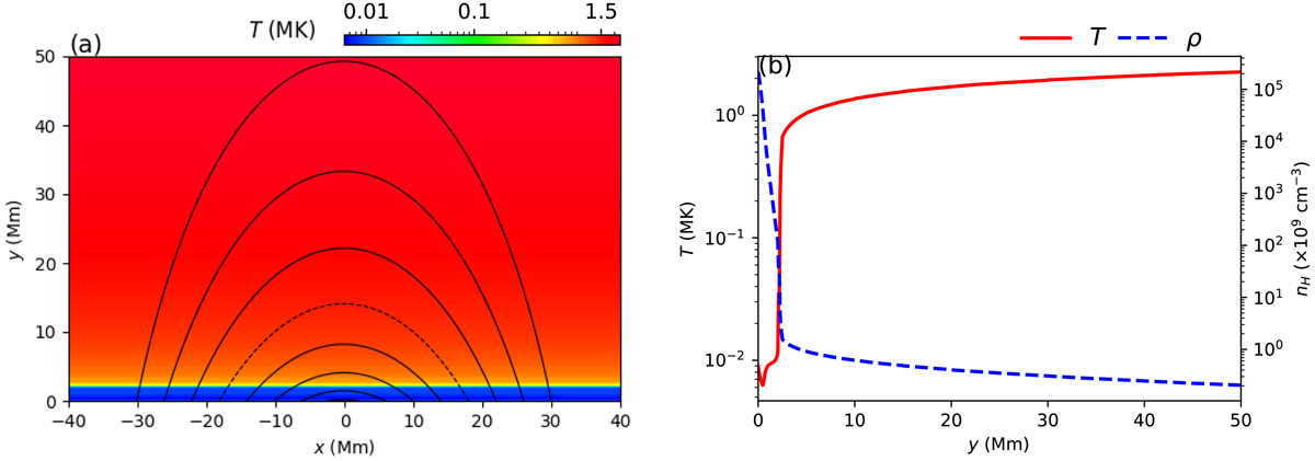
Fig. 1.

image

Initial condition of the simulation. (a) Setup of the atmosphere of our 2D simulation. Black lines show the magnetic configuration, the dashed field line is used in the 1D setup in Fig. 2. (b) Initial temperature and number density profile.

Current usage metrics show cumulative count of Article Views (full-text article views including HTML views, PDF and ePub downloads, according to the available data) and Abstracts Views on Vision4Press platform.

Data correspond to usage on the plateform after 2015. The current usage metrics is available 48-96 hours after online publication and is updated daily on week days.

Initial download of the metrics may take a while.