Free Access

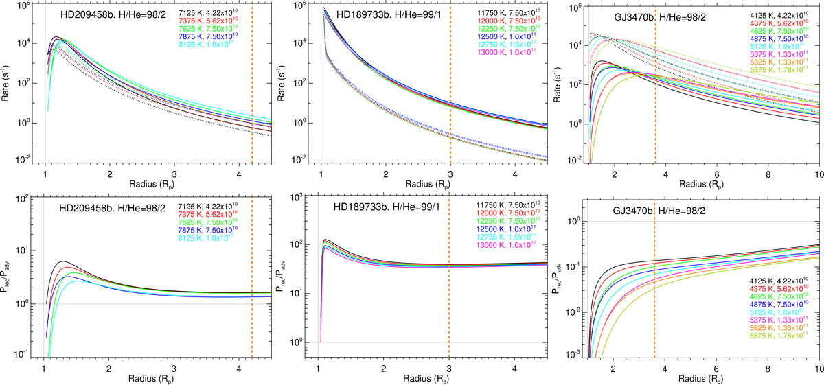
Fig. 3.

image

Recombination and advection for HD 209458 b, HD 189733 b, and GJ 3470 b. Upper row: production rates of H by recombination (solid lines) and advection (dashed lines) derived from the fits of the measured He(23S) absorption spectra (see symbols in Fig. 1) in the atmospheres of HD 209458 b (left), HD 189733 b (middle), and GJ 3470 b (right) and the representative H/He ratios of 98/2, 99/1, and 98/2, respectively. Lower row: ratios of the recombination to the advection. The vertical dashed orange lines indicate the mean Roche lobes. The different scales of the x and y axes for the different planets should be noted.

Current usage metrics show cumulative count of Article Views (full-text article views including HTML views, PDF and ePub downloads, according to the available data) and Abstracts Views on Vision4Press platform.

Data correspond to usage on the plateform after 2015. The current usage metrics is available 48-96 hours after online publication and is updated daily on week days.

Initial download of the metrics may take a while.