Free Access

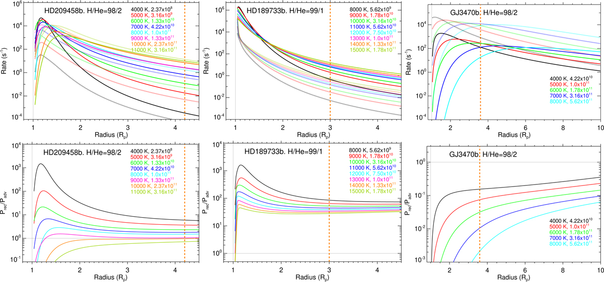
Fig. B.1.

image

Same as Fig. 3 but for the extended T ranges (see the dotted lines in Fig. 1). Upper row: rates of H by recombination (solid lines) and advection (dotted lines). Lower row: ratios of recombination to advection. The vertical dashed orange lines indicate the mean Roche lobes. We note the different scales of the x and y axes.

Current usage metrics show cumulative count of Article Views (full-text article views including HTML views, PDF and ePub downloads, according to the available data) and Abstracts Views on Vision4Press platform.

Data correspond to usage on the plateform after 2015. The current usage metrics is available 48-96 hours after online publication and is updated daily on week days.

Initial download of the metrics may take a while.