Free Access

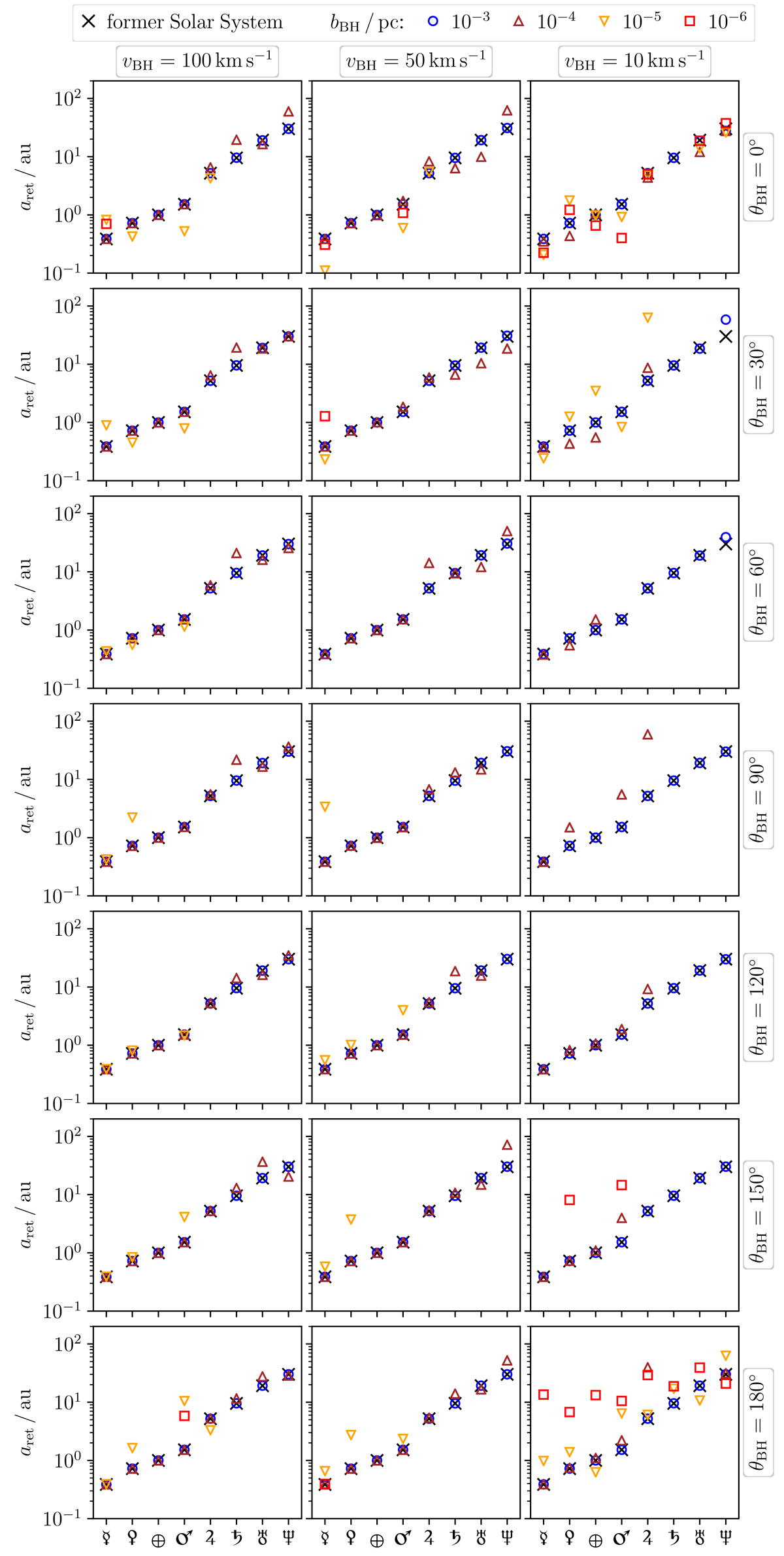
Fig. B.4.

image

Distribution of semi-major axes of planets retained by the Sun after a BH encounter. Each data point represents the mean value of the semi-major axis of a specific planet (Mercury ☿ to Neptune ♆) if it was retained by the Sun. The data were compiled from all pre-evolved states of the SS for a given set of initial conditions (impact parameter, bBH, encounter velocity, vBH, and the incidence angle, θBH) – i.e. the panels do not show how many planets were retained in total (see Fig. B.2). The former SS is shown for reference.

Current usage metrics show cumulative count of Article Views (full-text article views including HTML views, PDF and ePub downloads, according to the available data) and Abstracts Views on Vision4Press platform.

Data correspond to usage on the plateform after 2015. The current usage metrics is available 48-96 hours after online publication and is updated daily on week days.

Initial download of the metrics may take a while.