Free Access

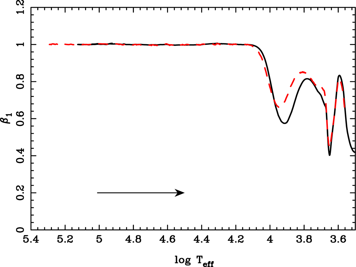
Fig. 6.

image

GDE for the white dwarf cooling sequence for the models shown Fig. 5 (continuous line). The DA model shown in Fig. 1 is represented by a dashed line. The horizontal arrow indicates the direction of time evolution.

Current usage metrics show cumulative count of Article Views (full-text article views including HTML views, PDF and ePub downloads, according to the available data) and Abstracts Views on Vision4Press platform.

Data correspond to usage on the plateform after 2015. The current usage metrics is available 48-96 hours after online publication and is updated daily on week days.

Initial download of the metrics may take a while.