Free Access

Fig. 2.

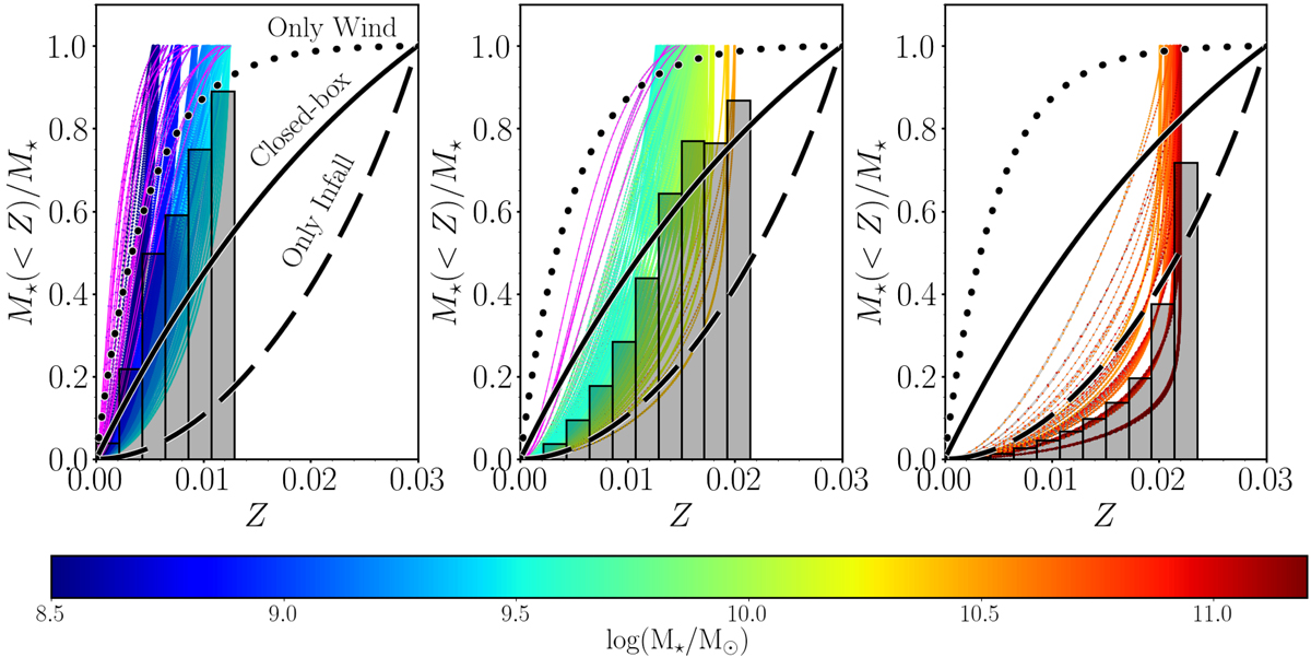
image

CMDFs for star-forming galaxies which follow the local MZR and MSR (see ES20) computed in three different mass bins: M/M ≤ 109.5 (left panel), 109.5 <  M/M ≤ 1010.5 (middle panel), and M/M >  1010.5 (right panel). In each panel, the small solid circles that are connected by a thin grey line indicate the CMDFs of single galaxies, and they are colour coded according to the stellar mass at z ∼ 0.1. The thin magenta lines are used to indicate single galaxies with downward-concave CMDFs. The grey shaded histograms indicate the average values of the CMDFs computed in 14 different metallicity bins. The solid lines, dashed lines, and dotted lines represent the CMDF of the closed-box model, the only-infall model, and the only-outflow model, respectively, which were computed with the same parameters as indicated in Fig. 1.

Current usage metrics show cumulative count of Article Views (full-text article views including HTML views, PDF and ePub downloads, according to the available data) and Abstracts Views on Vision4Press platform.

Data correspond to usage on the plateform after 2015. The current usage metrics is available 48-96 hours after online publication and is updated daily on week days.

Initial download of the metrics may take a while.