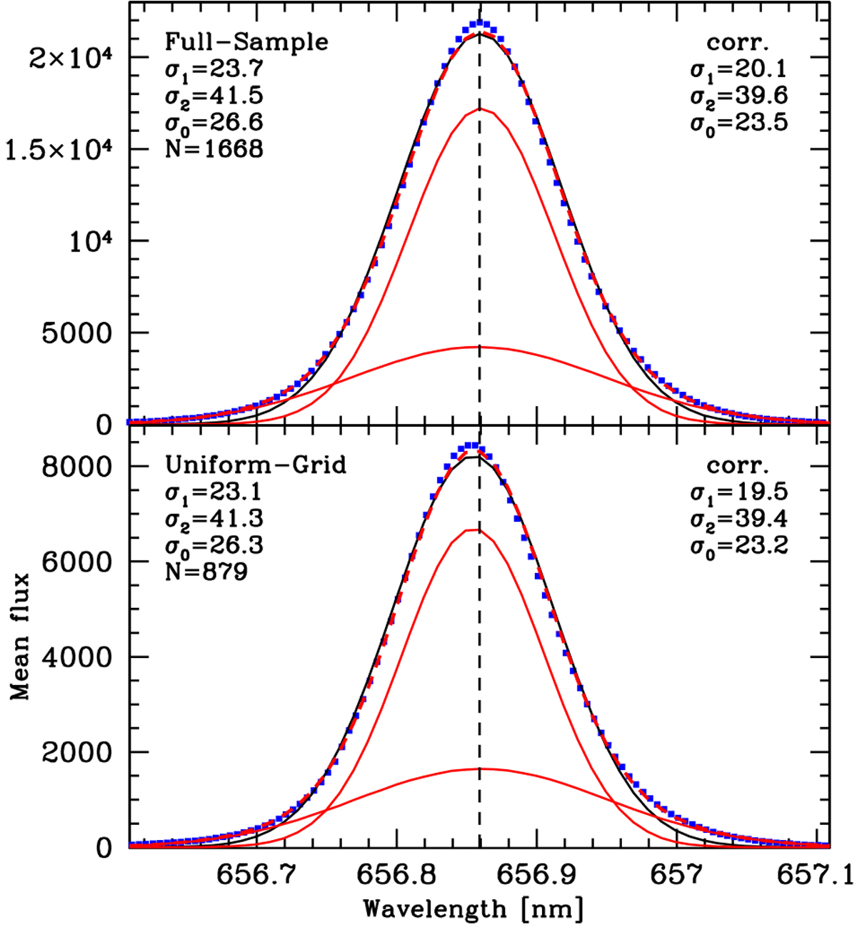
Fig. 2
 
      Top: integrated Hα profile of 30 Doradus using all the available data (1668 points). Two Gaussian components are required to fit the core and the wings of the line shown by the thin red lines. The data are shown asblue points and the sum of the two Gaussians by the red dashed lines. The legend reports the measured (left) and corrected for instrumental and thermal broadening (right) widths (σ) of each component plus the width from a single Gaussian fit (σ0 shown by the black lines). Bottom: same as top, but using only 879 points from the uniform grid of Torres-Flores et al. (2013). The heliocentric radial velocity of 30Dor obtained from the full sample is V30Dor = 264.8 km s−1 for an Hα rest wavelength of 656.2804 nm.
Current usage metrics show cumulative count of Article Views (full-text article views including HTML views, PDF and ePub downloads, according to the available data) and Abstracts Views on Vision4Press platform.
Data correspond to usage on the plateform after 2015. The current usage metrics is available 48-96 hours after online publication and is updated daily on week days.
Initial download of the metrics may take a while.
