Table 3
Fourteen planetary systems with measured λ and/or ψ with a stellar Teff ≤ 5000 K.
| System | Teff | λ | ψ | Reference | 
|---|---|---|---|---|
| (K) | (°) | (°) | ||
| GJ 0436 | 3416 ± 54 |  |  | (Bourrier et al. 2018) | 
| HAT-P-11 | 4780 ± 50 |  | (Winn et al. 2010b) | |
| HAT-P-11 | 4780 ± 50 |  | (Hirano et al. 2010) | |
| HAT-P-11 | 4780 ± 50 |  |  | Solution 1 (Sanchis-Ojeda & Winn 2011) | 
| HAT-P-11 | 4780 ± 50 |  |  | Solution 2 (Sanchis-Ojeda & Winn 2011) | 
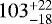
| HAT-P-11 | 106.6 ± 8.3 | |||
| HAT-P-12 | 4665 ± 45 |  | (Mancini et al. 2018) | |
| HAT-P-18 | 4870 ± 50 | 132 ± 15 | (Esposito et al. 2014) | |
| HAT-P-20 | 4595 ± 45 | -8.0 ± 6.9 |  | (Esposito et al. 2017) | 
| Qatar-1 | 4910 ± 100 | -8.4 ± 7.1 | (Covino et al. 2013) | |
| Qatar-2 | 4645 ± 50 | 4.3 ± 4.5 | (Mancini et al. 2014) | |
| Qatar-2 | 4645 ± 50 | 0.0 ± 8.0 | (Močnik et al. 2017) | |
| Qatar-2 | 4645 ± 50 | 0.0 ± 10.0 | (Dai et al. 2017) | |
| Qatar-2 | 4645 ± 50 | 15 ± 20 |  | (Esposito et al. 2017) | 
| Qatar-2 | 3.2 ± 3.6 | |||
| WASP-11 | 4900 ± 65 | 7 ± 5 | (Mancini et al. 2015) | |
| WASP-43 | 4520 ± 120 | 3.5 ± 6.8 |  | (Esposito et al. 2017) | 
| WASP-52 | 5000 ± 100 |  | (Hébrard et al. 2013) | |
| WASP-52 | 5000 ± 100 | 3.8 ± 8.4 | 20 ± 50 | (Mancini et al. 2017) | 
| WASP-52 | 9.7 ± 7.1 | |||
| WASP-53 | 4950 ± 60 | -1.0 ± 12 | (Triaud et al. 2017) | |
| WASP-69 | 4700 ± 50 |  | (Casasayas-Barris et al. 2017) | |
| WASP-80 | 4145 ± 100 | 0 ± 20 | (Triaud et al. 2013) | |
| WASP-80 | 4145 ± 100 | − 14 ± 14 | (Triaud et al. 2015) | |
| WASP-80 | -9.4 ± 11.5 | |||
| WASP-107(a) | 4430 ± 120 | 90 ± 50 | (Dai et al. 2017) | |
Notes. All multiple measurements for the same object are included together with the associated weighted mean. The values in bold were used to determine the weighted mean of λ from the 13 planetary systems with a measured λ. Obtained from the 2019/12/30 version of the TEPCat catalogue (Southworth 2011). (a) Dai et al. (2017) only gives a measurement of ψ for WASP-107. Therefore, WASP-107 was not used in calculating the weighted mean of λ.
Current usage metrics show cumulative count of Article Views (full-text article views including HTML views, PDF and ePub downloads, according to the available data) and Abstracts Views on Vision4Press platform.
Data correspond to usage on the plateform after 2015. The current usage metrics is available 48-96 hours after online publication and is updated daily on week days.
Initial download of the metrics may take a while.
