Free Access

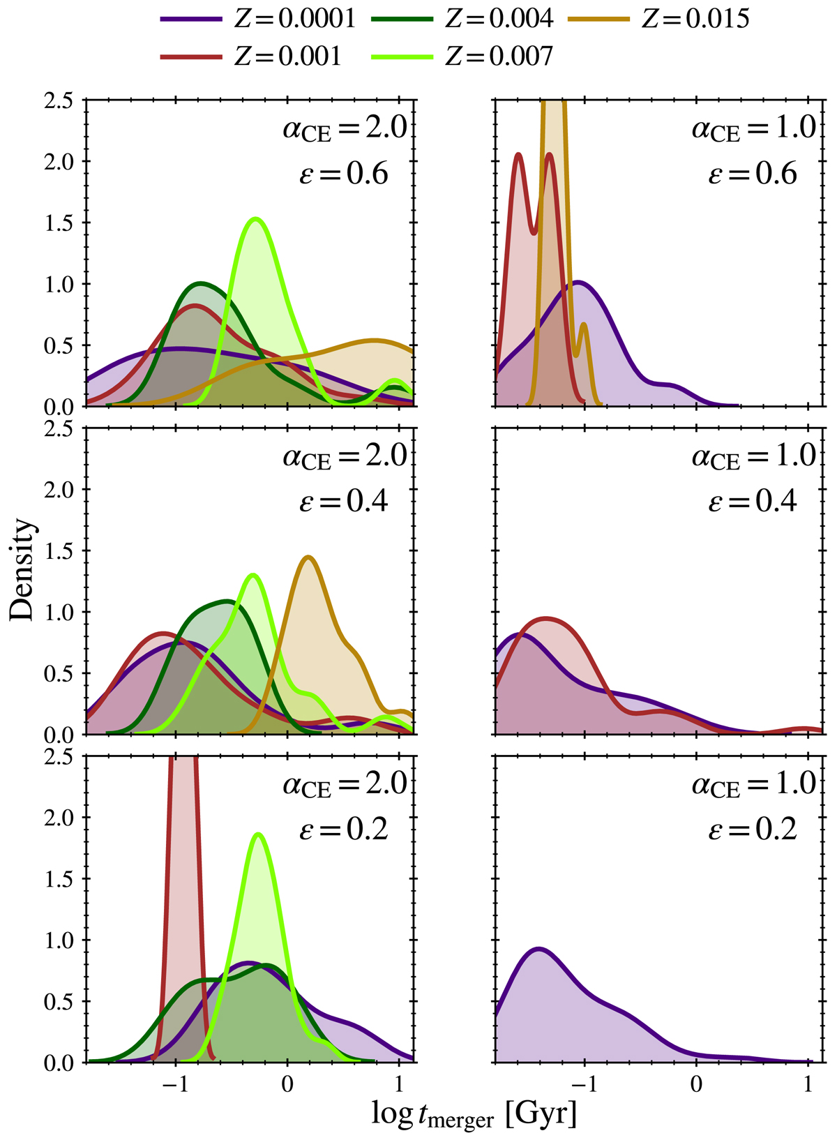
Fig. 11.

image

Population-weighted probability distribution of merger time delay (tmerger) of BBHs compatible with GW151226 or GW170608 (within their 100% C.I.). Left (right) panels: αCE = 2.0 (αCE = 1.0). Top to bottom panels: present different values of the MT efficiency adopted throughout this work. Different colours correspond to each metallicity value (see legend).

Current usage metrics show cumulative count of Article Views (full-text article views including HTML views, PDF and ePub downloads, according to the available data) and Abstracts Views on Vision4Press platform.

Data correspond to usage on the plateform after 2015. The current usage metrics is available 48-96 hours after online publication and is updated daily on week days.

Initial download of the metrics may take a while.