Free Access

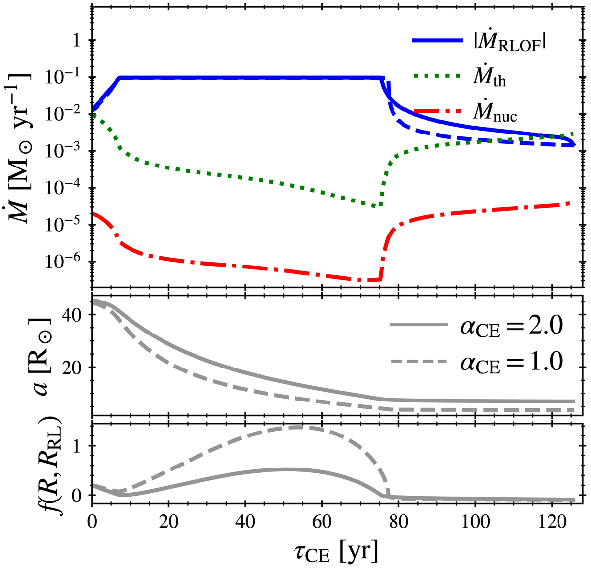
Fig. B.3.

image

Evolution of binary parameters across the CE phase. In the top panel, we present the evolution of the donor mass loss (RLOF, blue) and mass transfer scales: thermal (th, dotted green) and nuclear (nuc, dot-dashed red). In the mid panel, the separation (a) and in the lower panel the relative overflow (f(R, RRL)). Solid (dashed) lines represent αCE = 2.0 (αCE = 1.0).

Current usage metrics show cumulative count of Article Views (full-text article views including HTML views, PDF and ePub downloads, according to the available data) and Abstracts Views on Vision4Press platform.

Data correspond to usage on the plateform after 2015. The current usage metrics is available 48-96 hours after online publication and is updated daily on week days.

Initial download of the metrics may take a while.