Free Access

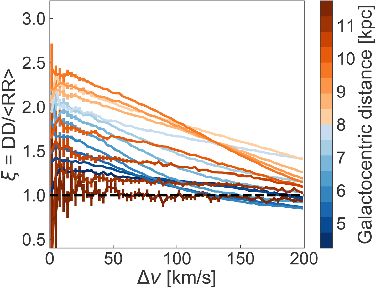
Fig. 11.

image

Two-point correlation function ξ of the pseudo-Cartesian velocities of the stars, binned by galactocentric distance. A correlation of ξ > 1 indicates an excess of pairs compared to a random sample. The random sample ⟨RR⟩ is obtained by randomly shuffling the velocities in the Galactic rest frame.

Current usage metrics show cumulative count of Article Views (full-text article views including HTML views, PDF and ePub downloads, according to the available data) and Abstracts Views on Vision4Press platform.

Data correspond to usage on the plateform after 2015. The current usage metrics is available 48-96 hours after online publication and is updated daily on week days.

Initial download of the metrics may take a while.