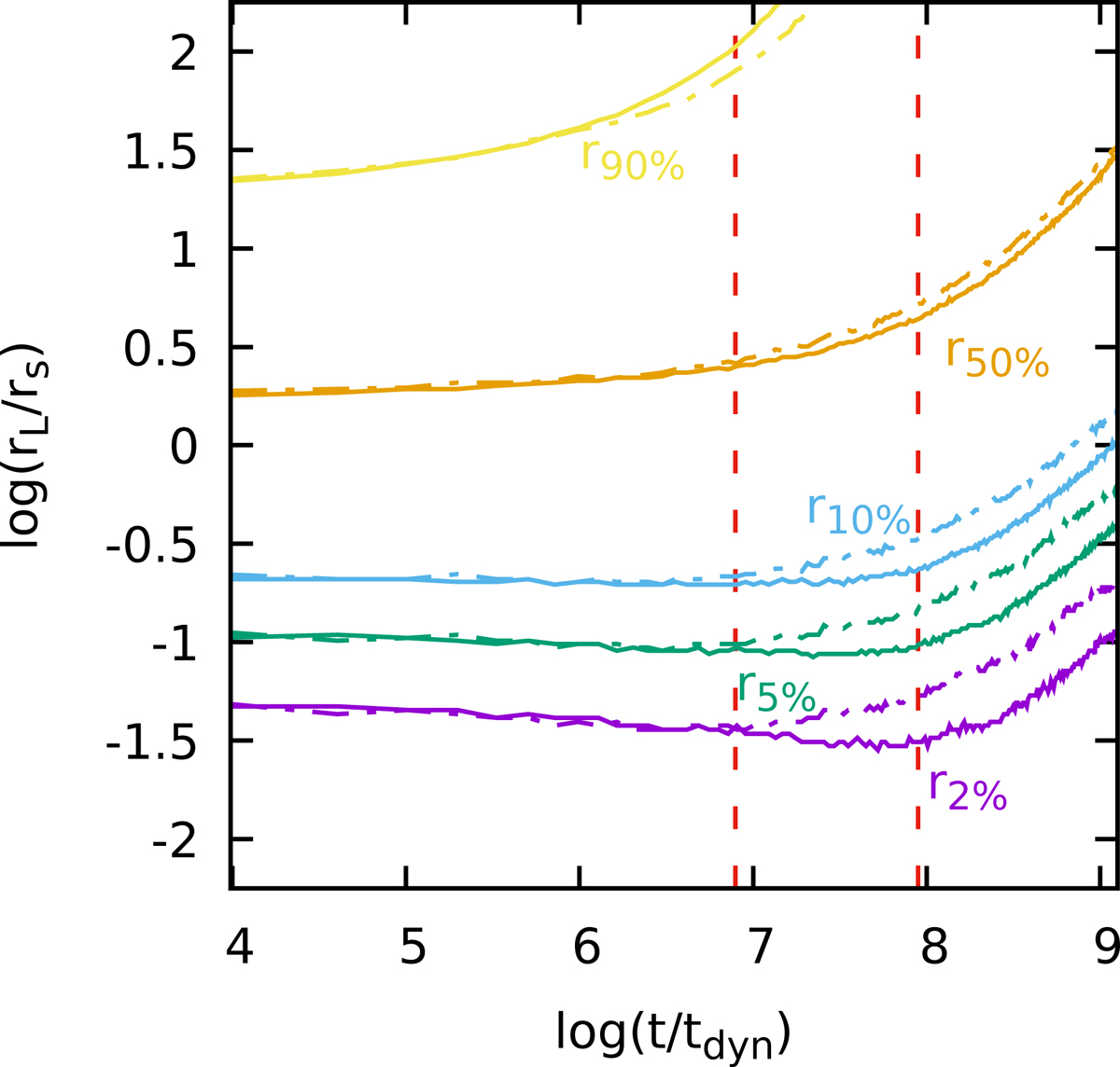
Fig. 13.
 
      Evolution of the 3D Lagrangian radii enclosing 2%, 5%, 10%, 50%, and 90% of the total number of particles N = 105 for the two models shown in Fig. 12. The solid and dotted-dashed lines refer the α = 1.5 and 2 cases, respectively. The two vertical dashed lines mark the core-collapse times for the models: tcc ≈ 2000 tdyn for α = 1.5 and tcc ≈ 773 tdyn for α = 2.0.
Current usage metrics show cumulative count of Article Views (full-text article views including HTML views, PDF and ePub downloads, according to the available data) and Abstracts Views on Vision4Press platform.
Data correspond to usage on the plateform after 2015. The current usage metrics is available 48-96 hours after online publication and is updated daily on week days.
Initial download of the metrics may take a while.
