Free Access
    
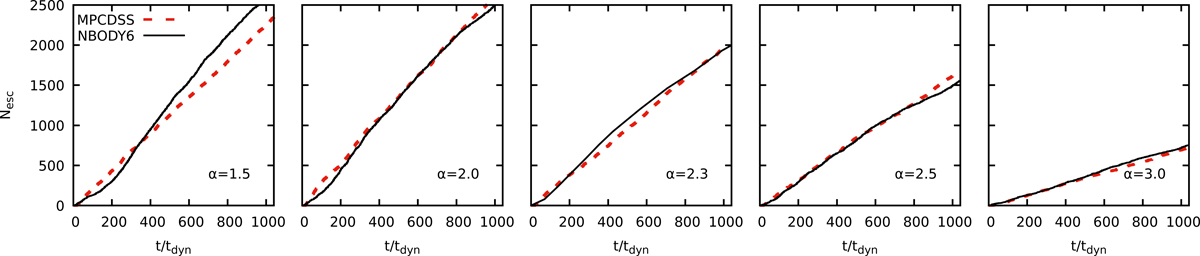
Fig. 6.
 
      Number of escapers Nesc as a function of time in units of the dynamical time tdyn for a Plummer model with N = 32 000 and power-law mass spectrum with, from left to right, α = 1.5, 2.0, 2.3, 2.5, and 3.0 when evolved with NBODY6 (dashed lines) and with MPCDSS (solid lines).
Current usage metrics show cumulative count of Article Views (full-text article views including HTML views, PDF and ePub downloads, according to the available data) and Abstracts Views on Vision4Press platform.
Data correspond to usage on the plateform after 2015. The current usage metrics is available 48-96 hours after online publication and is updated daily on week days.
Initial download of the metrics may take a while.
