Free Access
    
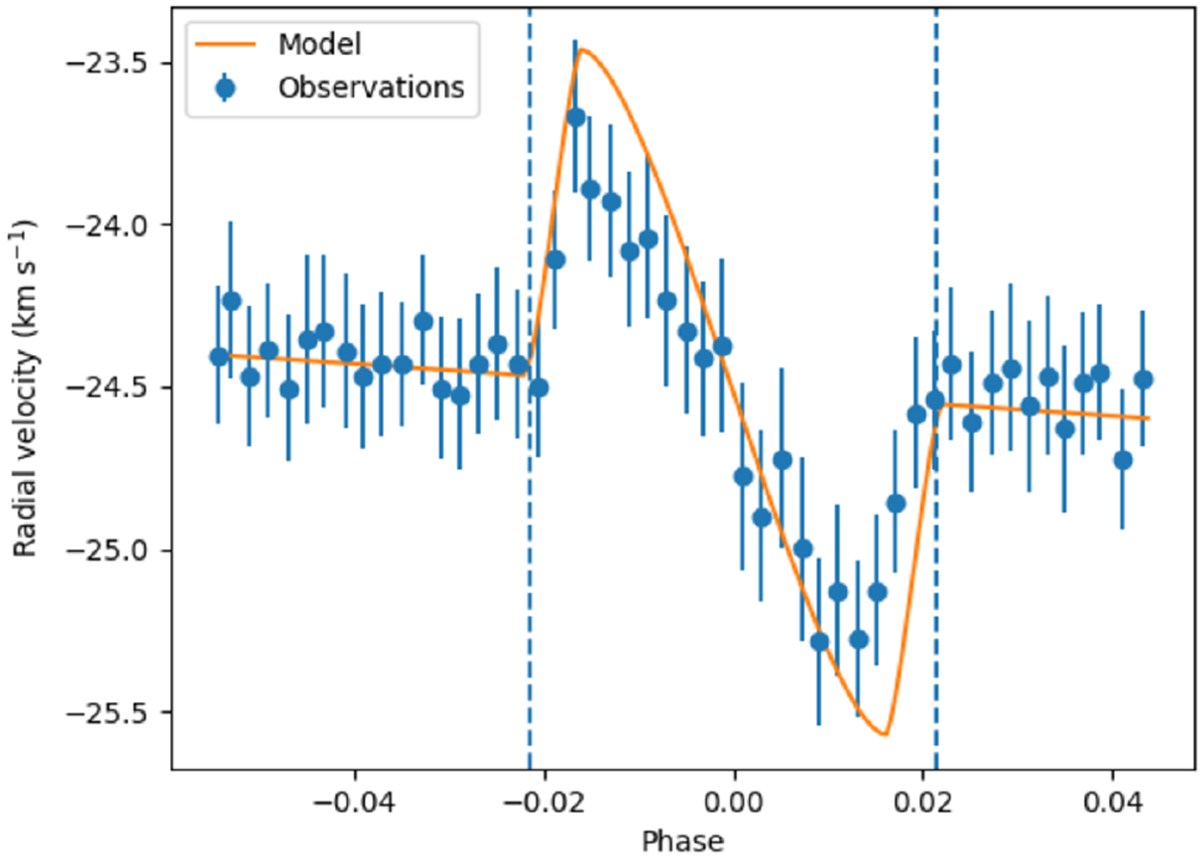
Fig. 4
 
      Comparison of the observed RVs averaged with 0.002 phase bin (blue points) and the RML RV model (orange line). The model appears to overestimate the amplitude of the RML effect because the atmospheric RML effect decreases the signal amplitude. The vertical dashed lines show the transit ingress and egress.
Current usage metrics show cumulative count of Article Views (full-text article views including HTML views, PDF and ePub downloads, according to the available data) and Abstracts Views on Vision4Press platform.
Data correspond to usage on the plateform after 2015. The current usage metrics is available 48-96 hours after online publication and is updated daily on week days.
Initial download of the metrics may take a while.
