Free Access
    
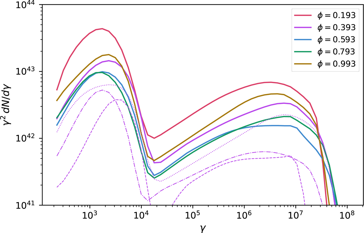
Fig. 5.
 
      Spectral energy distribution of electrons integrated over the computational domain for different orbital phases (colour-coded solid lines). For ϕ = 0.393, the contributions of the inner (dashed line), middle (dash-dotted), and outer regions (dotted) are shown as examples.
Current usage metrics show cumulative count of Article Views (full-text article views including HTML views, PDF and ePub downloads, according to the available data) and Abstracts Views on Vision4Press platform.
Data correspond to usage on the plateform after 2015. The current usage metrics is available 48-96 hours after online publication and is updated daily on week days.
Initial download of the metrics may take a while.
